Stentplaatsing bij een obstructief coloncarcinoom*

Onderzoek
Dubbelpublicatie
Abstract
Femke J. Amelung
Wernard A.A. Borstlap
Esther C.J. Consten
Joyce V. Veld
Emo E. van Halsema
Willem A. Bemelman
Peter D. Siersema
Frank ter Borg
Jeanin E. van Hooft
Pieter J. Tanis

Samenvatting

Doel

Het onderzoeken of stentplaatsing ter overbrugging van de periode tot aan een electieve resectie een veilig alternatief is voor een acute resectie bij patiënten met een linkszijdig obstructief coloncarcinoom.

Opzet

‘Propensity score’-gematchte analyse van een retrospectief cohort.

Methode

We includeerden alle patiënten in de Dutch Colorectal Audit (DCRA) die in de periode 2009-2016 werden gediagnosticeerd met een linkszijdig obstructief coloncarcinoom. Gegevens van langetermijnuitkomsten van deze patiënten werden verzameld in 75 Nederlandse ziekenhuizen. Patiënten die stentplaatsing ondergingen ter overbrugging van de periode tot aan een electieve resectie, werden op basis van een propensityscore in een verhouding van 1:2 gematcht met patiënten die een acute resectie ondergingen.

Resultaten

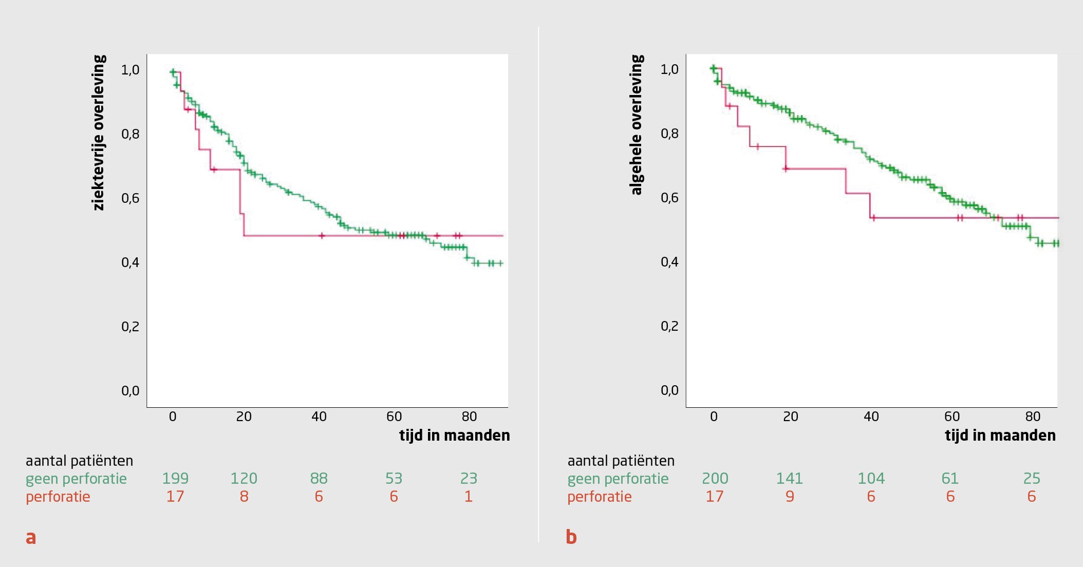
Na de matching werden 222 patiënten in de stentgroep vergeleken met 444 patiënten die een acute resectie ondergingen. 3 jaar na de resectie was er geen statistisch significant verschil tussen de groepen in het risico op een locoregionaal recidief (11,4 vs. 13,6%), de ziektevrije overleving (58,8 vs. 52,6%) en de algehele overleving (74,0 vs. 68,3%). De kans op een permanent stoma was lager in de stentgroep (23,9 vs. 45,2%; p < 0,001), met name voor patiënten > 70 jaar (29,0 vs. 57,0%). Bij 17 van de 222 patiënten (7,7%) in de stentgroep werd een stentgerelateerde perforatie gevonden en bij 8 van hen was een acute resectie nodig. Uitgesplitst naar wel of geen stentgerelateerde perforatie, was er na 3 jaar geen statistisch significant verschil tussen deze groepen in het percentage patiënten met een locoregionaal recidief (18,0 vs. 11,0%), ziektevrije overleving (49,0 vs. 59,6%) en algehele overleving (61,0 vs. 75,1%).

Conclusie

Stentplaatsing ter overbrugging van de periode tot een electieve resectie is een veilig alternatief voor een acute resectie. Patiënten bij wie een stent wordt geplaatst hebben uiteindelijk minder vaak een permanent stoma nodig. In de besluitvorming moet dit voordeel bij elke patiënt afgewogen worden tegen het risico op een stentgerelateerde perforatie.

Auteursinformatie

Meander Medisch Centrum, afd. Chirurgie, Amersfoort: dr. F.J. Amelung, aios; prof.dr. E.C.J. Consten, chirurg (tevens: UMCG, afd. Chirurgie, Groningen). Amsterdam UMC, locatie AMC, Amsterdam. Afd. Chirurgie: drs. J.V. Veld, promovenda (tevens: afd. Maag-, Darm- en Leverziekten); dr. W.A.A. Borstlap, prof.dr. W.A. Bemelman en prof.dr. P.J. Tanis‡, chirurgen. Afd. Maag-, Darm- en Leverziekten: dr. E.E. van Halsema en dr. J.E. van Hooft, mdl-artsen. Radboudumc, afd. Maag-, Darm- en Leverziekten, Nijmegen: prof.dr. P.D. Siersema, mdl-arts. Deventer Ziekenhuis, afd. Maag-, Darm- en Leverziekten, Deventer: dr. F. ter Borg, mdl-arts.

‡Namens de Dutch Snapshot Research Group.

Contact F.J. Amelung (f.j.amelung@umcutrecht.nl)

Belangenverstrengeling

Belangenconflict en financiële ondersteuning: er zijn mogelijke belangen gemeld bij dit artikel. ICMJE-formulieren met de belangenverklaring van de auteurs zijn online beschikbaar bij dit artikel.

Auteur Belangenverstrengeling
Femke J. Amelung ICMJE-formulier
Wernard A.A. Borstlap ICMJE-formulier
Esther C.J. Consten ICMJE-formulier
Joyce V. Veld ICMJE-formulier
Emo E. van Halsema ICMJE-formulier
Willem A. Bemelman ICMJE-formulier
Peter D. Siersema ICMJE-formulier
Frank ter Borg ICMJE-formulier
Jeanin E. van Hooft ICMJE-formulier
Pieter J. Tanis ICMJE-formulier
Heb je nog vragen na het lezen van dit artikel?
Check onze AI-tool en verbaas je over de antwoorden.
ASK NTVG

Ook interessant

Reacties