Terbinafine versus miconazol bij patiënten met tinea pedis

Onderzoek
Abstract
B.J. Vermeer
C.C.G. Staats
J.C. van Houwelingen
Download PDF

Samenvatting

Doel

Vergelijken van de werkzaamheid van terbinafinecrème gedurende 1 week met die van miconazolcrème gedurende 4 weken voor de behandeling van tinea pedis.

Opzet

Prospectief gerandomiseerd dubbelblind onderzoek.

Plaats

Afdeling Huidziekten, Academisch Ziekenhuis Leiden.

Methode

Patiënten die de huisarts bezochten vanwege tinea pedis en een positief KOH-preparaat voor een schimmelinfectie hadden, werden behandeld met terbinafinecrème gedurende 1 week, gevolgd door placebo gedurende 3 weken, of met miconazolcrème gedurende 4 weken. Evaluatie vond plaats na 1, 2, 3, 4 en 6 weken na het starten van de therapie. Mycologische genezing was gedefinieerd als de aanwezigheid van een positief KOH-preparaat en een positieve kweek voor de behandeling met een negatief resultaat op beide na de behandeling. Klinische effectiviteit was gedefinieerd als mycologische genezing en de aanwezigheid van maximaal twee geringe symptomen (erytheem, vesikels, huidschilfers, jeuk) ter plaatse van de aanvankelijk ernstigste huidafwijking. Resultaten zijn geevalueerd van alle patiënten met een positief KOH-preparaat en van de patiënten met een positief KOH-preparaat en een positieve kweek.

Resultaten

Er werden 263 patiënten geïncludeerd. Van hen hadden 207 ook een positieve kweek; 56 patiënten hadden wel een positief direct preparaat, maar geen positieve kweek. De terbinafine-placebogroep bestond uit 129 patiënten, de miconazolgroep uit 134 patiënten. Beide groepen hadden een gelijke verdeling van leeftijd, geslacht, ras, duur van de schimmelinfectie, wel of niet voorafgaande behandeling en de ernst van de schimmelinfectie. Mycologische genezing en klinische effectiviteit waren op elk moment van evaluatie in beide behandelgroepen hetzelfde. Na 6 weken was de mycologische genezing circa 95 en de klinische effectiviteit circa 87. De resultaten bij alle patiënten met een positief KOH-preparaat en bij degenen met een positief KOH-preparaat en een positieve kweek waren hetzelfde.

Conclusie

Voor de behandeling van tinea pedis is applicatie van terbinafinecrème gedurende één week even goed als applicatie van miconazolcrème gedurende 4 weken.

artikel

Inleiding

Zie ook de artikelen op bl. 1581 en 1611.

De ontwikkeling van nieuwe antimycotica (onder andere allylaminederivaten) heeft effect op de behandeling van schimmelaandoeningen van de huid. Zo kan men tegenwoordig nagelmycose afdoende behandelen met orale antimycotica.1 Ook het therapeutische arsenaal voor tinea pedis is met nieuwe antimycotica uitgebreid. In een vergelijkend onderzoek bij patiënten met tinea pedis of tinea cruris werd aangetoond dat behandeling met terbinafinecrème gedurende 1 week een beter resultaat had dan behandeling met clotrimazol gedurende 4 weken.2-4 In het onderzoek van Berman et al.2 werden de resultaten vergeleken van beide middelen in verschillende doseringsschema's bij patiënten die een dermatoloog bezochten. In alle gerefereerde onderzoeken werden alleen patiënten geïncludeerd bij wie zowel een direct preparaat als een schimmelkweek positief was.2-4

In Nederland worden de meeste patiënten met tinea pedis behandeld door de huisarts. Patiënten komen voor behandeling in aanmerking indien een schimmelinfectie aangetoond is in het directe preparaat. De gangbare therapie bestaat uit miconazolcrème die voor een periode van minimaal 4 weken wordt voorgeschreven. Volgens de literatuur is een kortere behandelingsduur met imidazolderivaten ineffectief.5

Wij verrichtten een onderzoek waarbij zoveel mogelijk de situatie in Nederland werd nagebootst zoals deze geldt voor de behandeling van tinea pedis. Het doel was na te gaan of een behandeling met terbinafinecrème gedurende 1 week afdoende is en dus te prefereren zou zijn voor deze patiëntenpopulatie.

PatiËnten en methoden

Vooraf werd de grootte van de onderzoeksgroep vastgesteld op 200 patiënten; hierbij was het onderscheidingsvermogen 80 bij een verschil van 15 en een onbetrouwbaarheid van 5. Het behandelingsprotocol wer goedgekeurd door de medisch-ethische commissie van het Academisch Ziekenhuis Leiden (AZL). Het onderzoek werd uitgevoerd door 40 huisartsen, die bij een waarschijnlijkheidsdiagnose ‘tinea pedis’ materiaal voor mycologisch onderzoek stuurden naar het laboratorium voor mycologie van het AZL. Hier werd een direct KOH-preparaat gemaakt en een kweek op schimmels gedaan. Alleen patiënten met een positief KOH-preparaat werden opgenomen in het onderzoek. Indien patiënten een positief direct preparaat hadden, maar geen positieve kweek, werden zij in het onderzoek opgenomen onder de definitie ‘verlate exclusie’.

Patiënten kregen vervolgens gerandomiseerd en dubbelblind óf terbinafine gedurende 1 week en vervolgens placebo gedurende 3 weken óf miconazol gedurende 4 weken, alle 2 maal per dag lokaal toe te passen. Evaluatie vond plaats na 1, 2, 3, 4 en 6 weken na het starten van de therapie. Bij de evaluatie werd gekeken naar de resultaten van het directe preparaat en de kweek. Indien voor de behandeling het preparaat en de kweek positief waren en na de behandeling beide negatief, werd gesproken van mycologische genezing. De klinische effectiviteit werd gemeten aan de hand van klinische symptomen. Voor de symptomen erytheem, vesikels, huidschilfers en jeuk was een puntenschema opgesteld. Klinische genezing werd gedefinieerd als mycologische genezing en de aanwezigheid van maximaal twee geringe symptomen. Per definitie was de klinische effectiviteit van een antimycoticum lager dan de mycologische genezing. Als maat voor de klinische symptomen werd de ernstigste huidafwijking geëvalueerd.

Patiënten die een schimmelinfectie van de nagels hadden of eerder een behandeling met antimycotica tegen een dergelijke schimmelinfectie hadden ondergaan, werden uitgesloten van deelname. Ook patiënten met een schimmelinfectie van de hele voetzool, een zogenaamde mocassin-dermatomycosis, werden uitgesloten.

Statistische analysen

Alleen de resultaten van de patiënten met een positieve kweek werden beoordeeld, zoals ook is gedaan in Britse en Amerikaanse onderzoeken. Voorts werden de resultaten van patiënten met en zonder een positieve kweek als één groep geëvalueerd. Bij de patiënten met een positief preparaat zonder positieve kweek werd mycologische genezing gedefinieerd als het negatief worden van het directe KOH-preparaat. Bij de statistische analysen werd gebruikgemaakt van ?2-toetsen, t-toetsen en de logrank-toetsen voor Kaplan-Meier-overlevingscurven.

Resultaten

De huisartsen selecteerden 471 patiënten, van wie 263 een positief direct preparaat op schimmels hadden. Deze patiënten wilden behandeling ontvangen en werden als de uitgangspopulatie beschouwd. Van deze 263 patiënten werden 129 patiënten ingedeeld in de groep die met terbinafinecrème en 134 patiënten in de groep die met miconazolcrème werd behandeld. De beide therapiegroepen waren goed vergelijkbaar wat betreft leeftijd, geslacht, ras, duur van de schimmelinfectie, wel of niet voorafgaande behandeling en de ernst van de schimmelinfectie (tabel 1).

Bij 207 patiënten was de schimmelkweek positief. De verdeling van de verschillende schimmelsoorten was gelijk verdeeld over de twee therapiegroepen. Zoals te verwachten werd Trichophyton rubrum-infectie het meest geïsoleerd (117 keer) en Trichophyton mentagrophytes minder vaak (83 keer); bij de overigen (n = 7) werd Nocardia gekweekt. Er waren 56 patiënten zonder positieve kweek.

Gedurende de evaluatieperiode van 6 weken kwamen 17 personen om onbekende redenen niet op de vastgestelde controledata. Tevens stopten 2 patiënten de therapie vroegtijdig vanwege lokale bijwerkingen (huidirritatie). Deze 2 waren gelijkelijk verdeeld over beide therapiegroepen. Derhalve konden 19 personen 6 weken na behandeling niet beoordeeld worden (zie tabel 1).

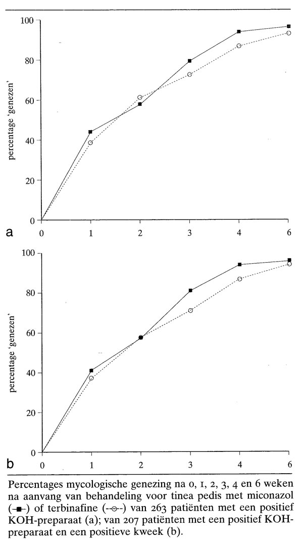
De klinische effectiviteit en de mycologische genezing waren op ieder moment van evaluatie (1, 2, 3, 4 en 6 weken na het starten van de therapie) niet statistisch verschillend bij beide behandelingsprotocollen. Bij evaluatie 6 weken na de start van de antimycotische therapie van de gehele patiëntenpopulatie van 263 met een positief direct preparaat en bij evaluatie van alleen de populatie van 207 patiënten met ook een positieve kweek, was er geen statistisch significant verschil tussen de beide therapiegroepen (figuur). De behandelingsresultaten bij patiënten met T. mentagrophytes-infectie waren hetzelfde als die bij patiënten met T. rubrum-infectie. Zes weken na het starten van de therapie waren de mycologische genezing en de klinische effectiviteit hetzelfde in beide therapiegroepen (tabel 2).

Na 1 week terbinafinecrème was bij 40 van de patiënten mycologische genezing bereikt. Daarna bleef het percentage stijgen; 6 weken na het starten van de therapie bedroeg dit 90 (zie de figuur). De blijkbaar voortdurende mycologische genezing en klinische effectiviteit na 1 week behandeling met terbinafinecrème waren hetzelfde als behandeling gedurende 4 weken met imidazolpreparaten.

Beschouwing

Dit onderzoek naar effectiviteit van een nieuw antimycoticum bij patiënten met tinea pedis werd uitgevoerd door een grote groep huisartsen. Het blijkt dat de klinische diagnose ‘tinea pedis’ bij 263 van de 471 patiënten correct was. Deze verhouding is in overeenstemming met eerder gepubliceerde gegevens.6 Om de diagnose ‘tinea pedis’ te stellen en te onderscheiden van eczeem is het noodzakelijk om mycologisch onderzoek te verrichten. Het aantonen van een schimmelinfectie in een direct KOH-preparaat kan voldoende zijn. De 263 patiënten die in dit onderzoek werden geïncludeerd, voldeden aan dit criterium en zouden volgens de regels antimycotische behandeling dienen te krijgen. Wij hebben de effectiviteit van de antimycotische behandeling bij deze patiëntengroep gemeten. Tevens zijn wij de effectiviteit van de therapie nagegaan bij de patiëntengroep met een positief preparaat en een positieve kweek. In de buitenlandse onderzoeken wordt alleen deze laatste groep in de analyse betrokken. Wij zijn van mening dat het in de analyse betrekken van patiënten met een positief preparaat met of zonder positieve kweek een exactere benadering oplevert van de dagelijkse praktijk. Derhalve hebben wij deze patiëntenpopulatie in een ‘intention to treat’-achtige analyse beoordeeld. Voor het stellen van de exacte diagnose is een goede samenwerking tussen de huisartsen en een laboratorium voor schimmelonderzoek nuttig. Het is een bijkomend voordeel dat het te onderzoeken materiaal zoals huidschilfers, haren of nagels gemakkelijk opgestuurd kan worden.

Bij dit vergelijkend onderzoek, uitgevoerd bij patiënten die in een huisartsenpraktijk wegens tinea pedis behandeld zouden worden, werd aangetoond dat behandeling met terbinafinecrème gedurende 1 week dezelfde klinische effectiviteit heeft als 4 weken behandeling met miconazolcrème. Zoals bekend uit de literatuur en aangegeven in het Farmacotherapeutisch kompas is een kortere behandelingsduur dan 4 weken met imidazolpreparaten ineffectief.5 De waarneming dat behandeling met terbinafinecrème gedurende 1 week of zelfs gedurende 2-3 dagen voldoende effect heeft op de schimmelinfectie kan verklaard worden doordat terbinafine specifiek in keratine wordt gestapeld en vanuit dit depot gedurende langere tijd fungicide eigenschappen voor de directe omgeving heeft.37 Zeven dagen na applicatie van een minimale hoeveelheid terbinafinecrème (1 ngcm² huidoppervlak) is de concentratie van terbinafine nog 100 x de concentratie die fungicide eigenschappen heeft.9 De imidazolpreparaten hebben fungostatische eigenschappen en alleen bij hoge concentraties fungicide eigenschappen.

Bij vergelijkend onderzoek tussen terbinafine en clotrimazol bleek bij follow-up dat patiënten die gedurende 4 weken met lokaal clotrimazol waren behandeld eerder een recidief van de schimmelinfectie kregen dan de patiënten die terbinafinecrème gedurende 1 week hadden gebruikt.5 Dit zou verklaard kunnen worden door een geringere therapietrouw bij patiënten die gedurende 4 weken een behandeling moeten toepassen. Immers, bij een aandoening die niet levensbedreigend is en slechts subjectieve klachten geeft, is therapietrouw een belangrijk gegeven. Volgens Meinhof et al. staakt meer dan 25 van de patinnten de antimycotische therapie vroeg tijdig wanneer zij geen subjectieve klachten meer hebben.10 In placebogecontroleerde onderzoeken is aangetoond dat bij 40 van patiënten met tinea pedis de subjectieve klachten na een week placebobehandeling verdwijnen.2 Een antimycotisch geneesmiddel dat een depotwerking heeft in de huid en werkzaam blijft wanneer de subjectieve klachten verdwenen zijn na een week behandeling is derhalve te prefereren.

Literatuur
  1. Schroeff JG van der, Cirkel PK, Crijns MB, Dijk TJ van,Govaert FJ, Groeneweg DA, et al. A randomized treatment duration-findingstudy of terbinafine in onychomycosis. Br J Dermatol 1992;126(39Suppl):36-9.

  2. Berman B, Ellis C, Leyden J, Lowe N, Savin R, Shupack J,et al. Efficacy of a 1-week, twice-daily regimen of terbinafine 1cream in the treatment of interdigital tinea pedis. Results ofplacebo-controlled, double-blind, multicenter trials. J Am Acad Dermatol1992;26:956-60.

  3. Evans EGV, Seaman RAJ, James IGV. Short-duration therapywith terbinafine 1 cream in dermatophyte skin infections. Br JDermatol 1994;130:83-7.

  4. Evans EGV, Shah JM, Joshipura RG. One-week treatment oftinea corporis and tinea cruris with terbinafine (Lamisil) 1 cream: aplacebo-controlled study. J Dermatol Treat 1992;3:181-4.

  5. Bergstresser PR, Elewski B, Hanifin J, Lesher J, Savin R,Shupack J, et al. Topical terbinafine and clotrimazole in interdigital tineapedis: a multicenter comparison of cure and relapse rates with 1- and 4weektreatment regimens. J Am Acad Dermatol 1993;28:648-51.

  6. Staats CCG, Vermeer BJ, Korstanje MJ. Zwemmerseczeem:intertrigo, erythrasma of een infectie met een gist of schimmel?Ned Tijdschr Geneeskd1994;138:2343-5.

  7. Balfour JA, Faulds D. Terbinafine. A review of itspharmacodynamic and pharmacokinetic properties, and therapeutic potential insuperficial mycoses. Drugs 1992;43:259-84.

  8. Evans EGV, Dodman B, Williamson DM, Brown GJ, Bowen RG.Comparison of terbinafine and clotrimazole in treating tinea pedis. BMJ1993;307:645-7.

  9. Hill S, Thomas R, Smith SG, Finlay AY. An investigation ofthe pharmacokinetics of topical terbinafine (Lamisil) 1 cream. Br JDermatol 1992;127:396-400.

  10. Meinhof W, Girardi RM, Stracke A. Patient noncompliancein dermatomycosis. Results of a survey among dermatologists and generalpractitioners and patients. Dermatologica 1984;169(1 Suppl):57-66.

Auteursinformatie

Academisch Ziekenhuis, afd. Huidziekten, Postbus 9600, 2300 RC Leiden.

Prof.dr.B.J.Vermeer, dermatoloog; C.C.G.Staats, mycoloog.

Rijksuniversiteit, afd. Medische Statistiek, Leiden.

Prof.dr.J.C.van Houwelingen, statisticus.

Contact prof.dr.B.J.Vermeer

Heb je nog vragen na het lezen van dit artikel?
Check onze AI-tool en verbaas je over de antwoorden.
ASK NTVG

Ook interessant

Reacties