Overleving na borstkanker in een vroeg stadium

Borstsparende therapie en mastectomie vergeleken*

Onderzoek
Abstract
Marissa C. van Maaren
Linda de Munck
G.H. (Truuske) de Bock
Jan J. Jobsen
Thijs van Dalen
Sabine C. Linn
Philip M. Poortmans
Luc J.A. Strobbe
Sabine Siesling
Leestijd
15 minuten
Citeren

Samenvatting

Doel

Het effect onderzoeken van borstsparende chirurgie met radiotherapie (BST) en mastectomie (MAST) op de totale en borstkankerspecifieke 10-jaarsoverleving van Nederlandse vrouwen met een vroeg stadium borstkanker, gestratificeerd voor T- en N-stadium.

Opzet

Historisch cohortonderzoek.

Methode

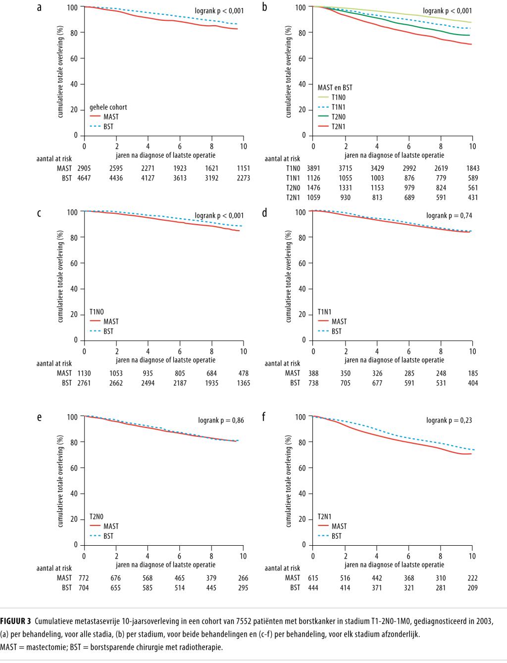
Uit de Nederlandse Kankerregistratie includeerden wij alle vrouwen die in de periode 2000-2004 waren gediagnosticeerd met primair invasieve borstkanker, stadium T1-2N0-1M0 (n = 37.207). Alle patiënten waren behandeld met BST of MAST, onafhankelijk van okselklierstadiëring of -behandeling en adjuvante systemische therapie. Wij berekenden metastasevrije en relatieve overleving als maat voor de borstkankerspecifieke overleving met multivariabele Cox-regressie. Relatieve overleving hield in: de geobserveerde sterfte afgezet tegen de verwachte sterfte van de algemene populatie. De totale overleving berekenden we op het gehele cohort; de metastasevrije en relatieve overleving op het subcohort uit 2003 (n = 7.552), waarvan we complete follow-upgegevens verzamelden. Ontbrekende gegevens werden geïmputeerd.

Resultaten

In totaal werden 21.734 patiënten (58,4%) behandeld met BST en 15.473 (41,6%) met MAST. BST gaf een significant betere totale 10-jaarsoverleving (hazardratio (HR): 0,81; 95%-BI: 0,76-0,86) dan MAST. Dit bleef significant na stratificatie voor T- en N-stadium. Subcohort 2003 was representatief voor het gehele cohort, waarbij BST alleen voor patiënten met stadium T1N0 tot een significant betere metastasevrije (HR 0,74; 95%-BI: 0,58-0,94) en relatieve (HR 0,60; 95%-BI: 0,42-0,85) 10-jaarsoverleving leidde dan MAST.

Conclusie

De totale 10-jaarsoverleving van patiënten met vroeg-stadium borstkanker was beter na BST dan na MAST. De borstkankerspecifieke 10-jaarsoverleving na BST was alleen beter bij stadium T1N0. Deze resultaten bevestigen dat BST minstens zo gunstig is als MAST.

Auteursinformatie

*Dit onderzoek werd eerder gepubliceerd in The Lancet Oncology (2016;17:1158-70) met als titel ‘10 year survival after breast-conserving surgery plus radiotherapy compared with mastectomy in early breast cancer in the Netherlands: a population-based study’. Afgedrukt met toestemming.

Integraal Kankercentrum Nederland, afd. Onderzoek, Utrecht.

M.C. van Maaren, MSc en L. de Munck, MSc, klinisch epidemiologen in opleiding; prof.dr. S. Siesling, klinisch epidemioloog (tevens: Universiteit Twente, MIRA Instituut voor Biomedische Technologie en Technische Geneeskunde, Enschede).

Universitair Medisch Centrum Groningen, afd. Epidemiologie, Groningen.

Prof.dr. G.H. de Bock, klinisch epidemioloog.

Medisch Spectrum Twente , afd. Radiotherapie-oncologie, Enschede.

Dr. J.J. Jobsen, radiotherapeut-oncoloog.

Diakonessenhuis, afd. Oncologische chirurgie, Utrecht.

Dr. T. van Dalen, chirurg-oncoloog.

Nederlands Kankerinstituut/AvL, afd. Medische oncologie, Amsterdam.

Prof.dr. S.C. Linn, internist-oncoloog (tevens: Universitair Medisch Centrum Utrecht, afd. Pathologie, Utrecht).

Radboudumc, afd. Radiotherapie-oncologie, Nijmegen.

Prof.dr. P.M. Poortmans, radiotherapeut-oncoloog.

Canisius Wilhelmina Ziekenhuis, afd. Chirurgische oncologie, Nijmegen.

Dr. L.J.A. Strobbe, chirurg-oncoloog.

Contact M.C. van Maaren (m.vanmaaren@iknl.nl)

Belangenverstrengeling

Belangenconflict en financiële ondersteuning: geen gemeld.

Verantwoording

De auteurs P.M. Poortmans en L.J.A. Strobbe hebben een gelijke bijdrage geleverd aan het artikel.

Auteur Belangenverstrengeling
Marissa C. van Maaren ICMJE-formulier
Linda de Munck ICMJE-formulier
G.H. (Truuske) de Bock ICMJE-formulier
Jan J. Jobsen ICMJE-formulier
Thijs van Dalen ICMJE-formulier
Sabine C. Linn ICMJE-formulier
Philip M. Poortmans ICMJE-formulier
Luc J.A. Strobbe ICMJE-formulier
Sabine Siesling ICMJE-formulier
Reacties

Ook interessant

Gratis Ask NTVG uitproberen?

Maak met 2 klikken een gratis account aan

Account aanmaken

Heb je al een account of een abonnement? Inloggen

Altijd toegang tot alle publicaties van het NTVG?

Abonneer vandaag nog!

Online toegang tot alle artikelen
Gepersonaliseerde alerts voor artikelen en dossiers
Artikelen voor opleiding en nascholing mét geaccrediteerde toetsen
Onbeperkt luisteren naar de NTVG-podcast
Antwoorden op al je vragen via de AI-toepassing 'Ask NTVG'

Neem het digitaal ntvg abonnement

€ 15,93 per maand!

Ik wil digitaal
NTVG nummer 3 2026
NTVG nummer 4 2026
NTVG nummer 5 2026