Diagnostiek van foetale alcoholspectrumstoornissen

Klinische praktijk
Abstract
Hester van Wieringen
Tom G.W. Letteboer
Rob Rodrigues Pereira
Sanne de Ruiter
Walter A.F. Balemans
Dick Lindhout
Download PDF

Samenvatting

  • Prenatale blootstelling aan alcohol kan bij het kind leiden tot verminderde groei, congenitale afwijkingen en specifieke faciale kenmerken, maar vooral tot achterstand van de mentale ontwikkeling en gedragsproblemen, te scharen onder de noemer foetale alcoholspectrumstoornissen (‘fetal alcohol spectrum disorders’, (FASD’s)).

  • Een aanzienlijk aantal zwangeren in Nederland gebruikt alcohol, maar de prevalentie van FASD in ons land is onbekend.

  • Herhaalde en hoge piekconcentraties van alcohol in het bloed, bijvoorbeeld bij ‘binge drinking’ van de moeder, leiden tot ernstigere afwijkingen; een veilige ondergrens van alcoholgebruik voor zwangeren is niet te definiëren.

  • In 2007 en 2008 rapporteerden Nederlandse kinderartsen 56 kinderen met FASD, merendeels adoptie- en pleegkinderen. Mogelijk is er sprake van onderdiagnostiek.

  • Gebruikmaking van internationale richtlijnen voor diagnostiek door de medische beroepsgroep kan de signalering verbeteren.

  • De richtlijn van de Canadian Public Health Agency geeft een bruikbare en algemeen aanvaarde indeling, met strikte afkappunten waardoor overdiagnostiek wordt vermeden; er dient altijd aandacht te worden besteed aan de brede differentaaldiagnose.

artikel

Alcohol is een bekende teratogene stof. Desondanks blijkt drankgebruik tijdens de zwangerschap geen uitzondering. In Nederland neemt 38% van alle zwangeren wel eens alcohol; 9,6% drinkt bij gelegenheid 6 of meer glazen (het zogenoemde bingedrinken). Onder rokende zwangeren is het percentage bingedrinken zelfs 17,9%.1

Alcohol is een bekende teratogene stof. Desondanks blijkt drankgebruik tijdens de zwangerschap geen uitzondering. In Nederland neemt 38% van alle zwangeren wel eens alcohol; 9,6% drinkt bij gelegenheid 6 of meer glazen (het zogenoemde bingedrinken). Onder rokende zwangeren is het percentage bingedrinken zelfs 17,9%.1

Prenatale blootstelling aan alcohol kan bij het kind leiden tot een aandoening binnen het spectrum van foetale alcoholstoornissen (‘fetal alcohol spectrum disorders’ (FASD’s)). Daarbij kan sprake zijn van achterblijvende groei, microcefalie, een scala aan andere congenitale afwijkingen, bijzondere gelaatskenmerken, milde tot ernstige mentale retardatie en gedragsproblemen. Het ernstigste beeld in het spectrum is het foetaal alcoholsyndroom (FAS).

De mate waarin de verschijnselen optreden zijn zeer variabel. Dit hangt af van de mate van alcoholgebruik, van de periode tijdens de zwangerschap waarin gedronken werd en van individuele genetische verschillen. Er bestaat een dosis-effectrelatie:2,3 in populaties met zeer hoog drankgebruik is de prevalentie van FASD ook hoog en bingedrinken hangt samen met ernstigere verschijnselen.4 Er bestaan tegenstrijdige gegevens over de schade van kleine hoeveelheden alcohol (3,4 Een veilige ondergrens van alcoholgebruik voor zwangeren is derhalve niet te definiëren.5

De prevalentie van FAS in Europa is geschat op 1 op de 1330 levendgeborenen per jaar en van FASD op 1 op de 450. In Nederland zou dit neerkomen op jaarlijks 135-400 nieuwe gevallen.6 Er zijn aanwijzingen dat de frequentie in andere delen van Europa hoger ligt.7,8 In ons land is er minder professionele aandacht voor FASD dan in de VS, Canada en Australië.

In dit artikel beschrijven we 4 internationale richtlijnen met criteria voor de diagnose ‘FASD’ en gaan we in op de onderlinge verschillen. Ook doen we aanbevelingen voor het gebruik ervan in de praktijk.

Diagnose moeilijk, maar zinvol

De klinische diagnose van foetale alcoholspectrumstoornissen blijkt moeilijk. Géén van de verschijnselen, alleen of in combinatie, is bewijzend voor FASD; een gouden standaard ontbreekt. Vrouwen ontkennen vaak dat ze alcohol gebruiken of hebben gebruikt tijdens hun zwangerschap en hulpverleners verzuimen expliciet dóór te vragen.

Een vroege diagnose is echter belangrijk vanwege het gunstige effect op de prognose. Tijdige interventie kan gedragsproblemen, schooluitval en criminaliteit verminderen.9,10 Zo kunnen gedragsproblemen en ADHD met medicatie worden behandeld. Ook zijn er gerichte schoolbegeleidingsmethoden voor kinderen met FASD die positieve effecten hebben op ontwikkeling van geheugen, leren en gedrag.11 Bovendien werkt een etiologische verklaring van ernstige leer- en gedragsproblemen voor ouders, pleegouders en leerkrachten vaak verhelderend. Als zij zich realiseren dat de problematiek van het kind voortkomt uit neurologische schade, wordt hun emotionele beleving van de problemen anders en zullen zij het kind anders benaderen. Ook vanuit preventief oogpunt is onderkenning van het alcoholgebruik van belang. Bij de begeleiding van een eventuele volgende zwangerschap en bij het controleren van andere kinderen uit het gezin kan hier rekening mee worden gehouden.

Omdat een incorrecte diagnose kan leiden tot onjuiste behandeling en stigmatisering is een goede differentiaaldiagnose belangrijk. Het uitsluiten van syndromale aandoeningen met mentale retardatie en vergelijkbare uiterlijke verschijnselen is essentieel.12-14

Zowel voor de individuele patiëntenzorg als voor epidemiologisch onderzoek is bekendheid met en overeenstemming over de criteria voor FASD dus belangrijk. Het afgelopen decennium werden in de internationale literatuur diverse richtlijnen gepubliceerd, met criteria op basis waarvan de verschillende uitingsvormen van FASD gediagnosticeerd kunnen worden.12,13,15-17 De meest gebruikte zijn de ‘4-digit diagnostic code’ (4-DDC) 13,15, de richtlijn van de Amerikaanse Centers for Disease Control (CDC)16, de richtlijn van de Canadian Public Health Agency17 en de gereviseerde richtlijn van het Amerikaanse Institute of Medicine (IOM).12

Kenmerken van FASD

De diagnose ‘FASD’ is gebaseerd op basis van verschijnselen in 4 domeinen: (a) lengte- en gewichtsgroei, (b) faciale dysmorfieën, (c) afwijkingen van het centraal zenuwstelsel in aanleg (waaronder microcefalie) of functie (neuropsychologische problematiek) en (d) alcoholgebruik in de zwangerschapsanamnese.

Groeiachterstand Van een groeiachterstand is sprake als de lengte en/of het gewicht ≤ -1,3 SD zijn, wat ongeveer neerkomt op ≤ P10 bij de geboorte of in latere jaren. Achterblijvende groei kan echter ook andere oorzaken hebben, zoals roken of ondervoeding van de moeder tijdens de zwangerschap, prenatale infecties, postnatale aandoeningen en psychologische deprivatie.

Van de 4 domeinen is achterblijvende groei het minst essentieel voor een FASD-diagnose. Daarom spreken de meeste richtlijnen van partieel foetaal alcoholsyndroom als de groei normaal is, de prenatale alcoholexpositie zeker is en er 2 of meer gelaatskenmerken én CZS-afwijkingen zijn.

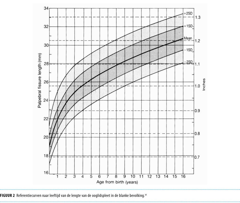
Gelaatskenmerken De afwijkende gelaatskenmerken die het frequentst voorkomen bij het FASD-fenotype, zijn korte horizontale ooglidspleten, een glad en lang filtrum en een dunne bovenlip. Deze 3 kenmerken worden het meest frequent en in combinatie met elkaar gezien en hangen samen met verminderde cerebrale groei, zo bleek uit MRI-studies.2 Ze zijn onderscheidender dan andere gelaatskenmerken die bij FASD kunnen voorkomen zoals epicanthi, onderontwikkelde oren (‘railroadtrack’-oren) of een opgewipte neuspunt.

De gemeten ooglidspleetlengte (figuur 1) wordt vergeleken met referentiewaarden (figuur 2).13,14,17 Het beoordelen van filtrum en bovenlip gebeurt met behulp van de lip-filtrumschaal (figuur 3), een 5-puntsschaal met foto’s, waarbij schaal 3 het meest voorkomt en schaal 4 en 5 varianten zijn die kunnen passen bij FASD (zie ook http://depts.washington.edu/fasdpn/htmls/lip-philtrum-guides.htm).

Figuur 1
Figuur 2
Figuur 3

Verder zijn er nog een groot aantal andere dysmorfieën en malformaties beschreven die passen bij FASD. Deze zijn zeer variabel en komen niet of nauwelijks voor zonder neurologische schade. De diagnose ‘alcohol related birth defects’, die wel gebezigd wordt om alleen de lichamelijke malformaties aan te duiden, heeft dan ook geen praktische waarde en wordt hier verder buiten beschouwing gelaten.

Centraal zenuwstelsel Bij alle FASD-diagnoses komt functioneel relevante schade aan het brein voor, variërend van structurele afwijkingen met volumevermindering van een groot aantal hersengebieden tot microscopische en neurochemische afwijkingen. Kinderen met FASD kunnen microcefalie hebben met of zonder cerebrale aanlegstoornissen, neurologische afwijkingen zoals epilepsie of tonusregulatiestoornissen, neuropsychologische afwijkingen en gedragsproblemen.

Bij een bewezen prenatale alcoholblootstelling in combinatie met afwijkingen aan het centraal zenuwstelsel, maar zonder groeiretardatie of uiterlijke kenmerken, spreekt men van ‘alcohol related neurodevelopmental disorders’ (ARND’s). Deze diagnosecategorie levert veel stof tot discussie, want voor het individuele kind is een oorzakelijk verband tussen alcohol en neuro-psychologisch disfunctioneren moeilijk te bewijzen, wanneer andere verschijnselen ontbreken. Inmiddels is echter voldoende aangetoond dat alcoholblootstelling tijdens de zwangerschap een negatieve invloed heeft op vele mentale functies en gedrag, ook wanneer wordt gecorrigeerd voor confounders als roken, cocaïnegebruik, geboortegewicht, psychopathologie en sociaaleconomische status van de moeder.18,19

Een onderscheidend neuropsychologisch profiel voor kinderen met een FASD-diagnose bleek niet vast te stellen vanwege de grote variatie van problemen op vele gebieden.20 IQ-testen geven lage tot normale uitkomsten (meestal van 70-100; uitersten: 50-120); vaak is sprake van een disharmonisch intelligentieprofiel en bestaan er grotere sociale aanpassingsproblemen dan verwacht op grond van het gemeten IQ. Volgens sommige studies voldoet meer dan de helft van de kinderen aan de criteria voor ADHD, jongens vaker dan meisjes.18 Er zijn problemen met de executieve functies zoals planning, doelgerichtheid, herstellen van fouten, en inhibitie van reacties. Ook de score op complexe taaltesten is verminderd.19 Verder zijn er problemen met sociale cognitie, vertonen de kinderen jong gedrag met stereotiepe oplossingsstrategieën en verminderde gevoeligheid voor motivatie en beloning.

Gedragsproblemen worden gemeld vanaf de babyleeftijd, vooral geprikkeld gedrag en slaapproblemen, maar ook hypotonie en verminderde responsiviteit. Op oudere leeftijd zijn er vaak symptomen van lage frustratietolerantie, onveilige hechting, depressieve klachten en angst, maar ook van oppositioneel en antisociaal gedrag, mogelijk uitmondend in delinquentie en daarnaast ook weer alcoholmisbruik. De gedragsproblemen worden overigens gunstig beïnvloed door ‘goed ouderschap’ en een stabiele thuissituatie.18

Zwangerschapsanamnese Bij het foetaal alcoholsyndroom, de ernstigste variant van het spectrum met overduidelijke lichamelijke verschijnselen, kan de diagnose zelfs gesteld worden zonder dat het alcoholgebruik is bevestigd. Dat geldt niet voor de minder uitgesproken varianten: daarvoor is volgens de meeste richtlijnen het aantonen van alcoholgebruik in de zwangerschapsanamnese een essentieel criterium.

Verschillen tussen richtlijnen

Zoals eerder gezegd, bestaan er verschillende richtlijnen voor de diagnose van foetale alcoholspectrumstoornissen. De vraag rijst welke hiervan het betrouwbaarst is en bruikbaar in de praktijk.14,21 De bestaande richtlijnen zijn ontwikkeld door individuele onderzoeksinstituten of door overheidscommissies met betrokkenheid van experts uit het veld. Ze verschillen in gebruikte afkappunten voor een aantal criteria, in indeling van diagnosegroepen en kernsymptomen voor neurologische schade (tabel 1 en 2).

Figuur 4
Figuur 5

CDC-richtlijn Volgens de CDC-richtlijn kan men alléén de diagnose ‘foetaal alcoholsyndroom’ met zekerheid stellen; voor partieel FAS en ARND wordt de wetenschappelijke onderbouwing onvoldoende geacht. Hierdoor blijft echter een deel van de aangedane kinderen ongeïdentificeerd en verstoken van begeleiding. Wij vinden de CDC-richtlijn daarnaast minder geschikt omdat daarin gekozen is voor ‘soepele’ afkappunten voor de ooglidspleetlengte en schedelomtrek, namelijk ≤ -1,3 SD (ongeveer overeenkomend met ≤ P10) in plaats van ≤ -2 SD (ongeveer overeenkomend met ≤ -P3).12,16 Het is onjuist om 1 op de 10 kinderen als afwijkend te beschouwen, zeker in het licht van het ontbreken van goed gevalideerde referentiewaarden voor ooglidspleetlengte en schedelomtrek binnen verschillende populaties.

IOM-richtlijn Volgens de IOM-richtlijn wijzen faciale kenmerken al op FAS als 2 van de 3 afwijkend zijn.12 Er wordt niet expliciet vereist dat er neuropsychologisch getest wordt, een globale klinische beoordeling is voldoende. De IOM-richtlijn maakt net als die van de CDC gebruik van ‘soepele’ afkappunten voor de ooglidspleetlengte en de schedelomtrek. Deze richtlijn is de enige waarbij alcoholgebruik voor partieel foetaal alcoholsyndroom niet bewezen hoeft te zijn. Bovendien geldt hierbij de combinatie van verminderde groei en 2 faciale kenmerken zonder neurologische schade al als partieel foetaal alcoholsyndroom.12 Dit kan leiden tot sterke overschatting van het voorkomen van FASD.21 Bij het vaststellen van de prevalentie in een populatie basisschoolkinderen in Italië werd gebruik gemaakt van de IOM-richtlijn.8 Het is de vraag of de hierbij gevonden prevalenties voor foetaal alcoholsyndroom (3,4-7,4‰) en FASD (2,3-4,1%) reëel zijn.7

4-DDC-richtlijn De 4-DDC-richtlijn hanteert als afkappunten ≤ -2 SD voor ooglidspleetlengte en schedelomtrek.13,15 Verschijnselen worden genoteerd in een 4-puntsscoresysteem, wat resulteert in 22 diagnostische categorieën die de kans op samenhang tussen alcoholblootstelling en symptomen weergeven.13 Voor de klinische praktijk wordt deze methode vaak te bewerkelijk geacht. Daarom werd in de meest recente publicaties aangesloten bij de IOM-indeling door diagnostische categorieën te groeperen. Daarbij werd wel een extra onderscheid gemaakt tussen ernstige en milde ARND (zie tabel 2). Bij neuropsychologisch testen scoorden kinderen met milde ARND vaak binnen de normale range. Wel vertoonden zij de gedragsproblemen en psychiatrische symptomen zoals kinderen met ernstige ARND.20 Ook werd bij MRI-onderzoek volumevermindering van hersengebieden gevonden in vergelijking met gezonde controles.2 Deze ARND-onderverdeling is niet praktisch voor de diagnostiek in de klinische praktijk. Niet elke kliniek kan immers dit type MRI-onderzoek uitvoeren. Een causaal verband met alcoholgebruik is bovendien minder aannemelijk als duidelijke cognitieve afwijkingen ontbreken.

Canadese richtlijn De Canadese richtlijn combineert de goede aspecten van bovenstaande richtlijnen: de diagnose-indeling van het IOM die wereldwijd geaccepteerd is en in de klinische praktijk goed bruikbaar, de strikte en duidelijk omschreven 4-DCD-criteria voor de faciale kenmerken, én een nauwkeurige omschrijving van de afwijkingen op het neuropsychologische vlak.17 Wij pleiten er dan ook voor om deze richtlijn te hanteren, met als aanvulling dat microcefalie geldt bij een schedelomtrek ≤ -2 SD (zie tabel 2). Daarnaast moeten andere oorzaken van de problematiek zo goed mogelijk zijn uitgesloten.

Implicaties voor de praktijk in Nederland

Buitenlandse studies hebben aangetoond dat slechts een minderheid van de kinderartsen FASD-richtlijnen gebruikt. Redenen om de diagnose niet te stellen zijn tijdgebrek, onvoldoende training (ook voor de begeleiding) en angst voor stigmatiseren.22,23

Illustratief zijn de uitkomsten van het signaleringsonderzoek dat in 2007 en 2008 uitgevoerd werd door het Nederlands Signaleringscentrum Kindergeneeskunde onder alle werkzame Nederlandse kinderartsen.24 De totale respons was in 2007 86,8% en in 2008 85,8%. Er werden 60 FASD-meldingen gedaan, waarvan 4 dubbele. Over 51 van de 56 kinderen werd aanvullende informatie verkregen via een toegestuurde vragenlijst. Meestal initieerden adoptie- of pleegouders het medisch onderzoek: 20 kinderen waren uit het buitenland geadopteerd en 23 kinderen woonden bij pleegouders. Uit de teruggestuurde vragenlijsten bleek dat veel gegevens over faciale kenmerken, groei en neuropsychologische uitkomsten ontbraken. Uiteindelijk voldeden daardoor slechts 39 kinderen aan de criteria voor FASD volgens de Canadese richtlijn (foetaal alcoholsyndroom: 13; partieel foetaal alcoholsyndroom: 12; ARND: 14). Bij 8 van hen was de diagnose onzeker door het ontbreken van differentiaaldiagnostische gegevens (foetaal alcoholsyndroom: 3; partieel foetaal alcoholsyndroom: 2; ARND: 3).

In het licht van de veronderstelde prevalentie is de lage signalering opvallend. Ook het feit dat de diagnose voornamelijk in duidelijke risicogroepen werd gesteld, is opmerkelijk. Dit kan wijzen op onderdiagnostiek. Bekendheid met en toepassing van diagnostische criteria zal de diagnostiek verbeteren.

Diagnostiek moet plaatsvinden in een multidisciplinaire setting, met betrokkenheid van kinderartsen, psychologen en klinisch genetici. Het is waarschijnlijk dat veel kinderen met FASD niet verwezen worden naar een kinderarts, zeker wanneer mentale- en gedragsproblematiek op de voorgrond staan. Het is onbekend in hoeverre andere hulpverleners met FASD in aanraking komen of deze diagnose overwegen bij hun diagnostiek. Huisartsen, jeugdartsen en artsen werkzaam in de verslavingszorg hebben een belangrijke signalerende functie.

Conclusie

Voor de toekomst is het belangrijk dat het onderzoek naar het voorkomen van foetale alcoholspectrumstoornissen in bekende risicogroepen én in de algemene populatie in Nederland wordt uitgebreid. De richtlijn van de Canadian Public Health Agency met criteria voor de diagnose van FASD, is goed bruikbaar in de klinische praktijk. Ook nieuwe mogelijkheden, zoals bepaling van biomarkers in meconium die kunnen wijzen op blootstelling aan alcohol in de baarmoeder, kunnen van belang zijn.25 De uitkomsten hiervan kunnen leiden tot meer aandacht voor preventie en preconceptionele counseling, bijvoorbeeld via websites als die van STAP, het Nederlands instituut voor alcoholbeleid (www.stap.nl/zwangerschap). Daarnaast kan het leiden tot specifiekere begeleidingsmogelijkheden voor kinderen en gezinnen, met als gevolg een betere prognose voor de langere termijn.

Leerpunten

  • Veel vrouwen in Nederland drinken alcohol tijdens hun zwangerschap, al blijkt dit vaak niet uit de zwangerschapsanamnese.

  • Alcohol is teratogeen: het veroorzaakt onder andere groeivertraging, dysmorfieën en neurologische schade, ofwel foetale alcoholspectrumstoornissen (FASD’s).

  • Herhaalde en hoge piekconcentraties van alcohol in het bloed, bijvoorbeeld bij bingedrinken van de moeder, leiden tot ernstigere afwijkingen.

  • Bekendheid met en toepassing van diagnostische criteria zal de signalering en diagnostiek in Nederland verbeteren.

  • De richtlijn van de Canadian Public Health Agency voor diagnostiek combineert een algemeen aanvaarde en praktische indeling van diagnosegroepen en een strikte hantering van criteria voor faciale kenmerken en neurologische verschijnselen.

  • Diagnostiek kan het best plaatsvinden in een multidisciplinaire setting, en andere oorzaken moeten zo goed mogelijk worden uitgesloten.

  • Het stellen van de diagnose ‘FASD’ is belangrijk voor de begeleiding van kind en gezin.

Literatuur
  1. Lanting CI, Buitendijk SE, Crone MR, Segaar D, Bennebroek Gravenhorst J, van Wouwe JP. Clustering of Socioeconomic, behavioural, and neonatal risk factors for infant health in pregnant smokers. PLoS One. 2009;4:e8363 Medline. doi:10.1371/journal.pone.0008363

  2. Astley SJ, Aylward E, Carmichael Olson H, et al. Magnetic resonance imaging outcomes from a comprehensive magnetic resonance study of children with fetal alcohol spectrum disorders. Alcohol Clin Exp Res. 2009;33:1671-89 Medline. doi:10.1111/j.1530-0277.2009.01004.x

  3. Sood B, Delanay-Black V, Covington C, et al. Prenatal alcohol exposure and childhood behavior at age 6 to 7 Years: I. Dose-response effect. Pediatrics. 2001;108:e34 Medline. doi:10.1542/peds.108.2.e34

  4. O’Leary C, Zubrick SR, Taylor CL, Dixon G, Bower C. Prenatal alcohol exposure and language delay in 2-year-old children: the importance of dose and timing on risk. Pediatrics. 2009;123:547-54 Medline. doi:10.1542/peds.2008-0459

  5. Risico’s van alcoholgebruik bij conceptie, zwangerschap en borstvoeding. Publicatienr 2004/22. Den Haag: Gezondheidsraad; 2005. www.gezondheidsraad.nl/nl/adviezen/risico-s-van-alcoholgebruik-bij-conc…

  6. Van Balkom IDC, Gunning WB, Hennekam RCM. Foetaal alcoholsyndroom: een miskende oorzaak van verstandelijke handicap en probleemgedrag in Nederland. Ned Tijdschr Geneeskd. 1996;140:592-5 Medline.

  7. May PA, Fiorentino D, Gossage JP, et al. Epidemiology of FASD in a province in Italy: Prevalence and characteristics of children in a random sample of schools. Alcohol Clin Exp Res. 2006;30:1562-75 Medline. doi:10.1111/j.1530-0277.2006.00188.x

  8. de Chazeron I, Llorca PM, Ughetto S, et al. Is pregnancy the time to change alcohol consumption habits in France? Alcohol Clin Exp Res. 2008;32:868-73 Medline. doi:10.1111/j.1530-0277.2008.00646.x

  9. Streissguth AP, Bookstein FL, Barr HM, Sampson PD, O’Malley K, Young JK. Risk factors for adverse life outcomes in fetal alcohol syndrome and fetal alcohol effects. J Dev Behav Pediatr. 2004;25:228-38 Medline. doi:10.1097/00004703-200408000-00002

  10. Spohr HL, Willms J, Steinhausen HC. Fetal alcohol spectrum disorders in young adulthood. J Pediatr. 2007;150:175-9 Medline. doi:10.1016/j.jpeds.2006.11.044

  11. Peadon E, Rhys-Jones B, Bower C, Elliot EJ. Systematic review of interventions for children with Fetal Alcohol Spectrum Disorders. BMC Pediatr. 2009;9:35-43 Medline. doi:10.1186/1471-2431-9-35

  12. Hoyme HE, May PA, Kalberg WO, et al. A Practical clinical approach to diagnosis of fetal alcohol spectrum disorders: Clarification of the 1996 Institute of Medicine criteria. Pediatrics. 2005;115:1787-88 Medline. doi:10.1542/peds.2005-0702

  13. Astley SJ. Diagnostic guidelines for fetal alcohol spectrum disorders: The 4-Digit Diagnostic Code. 3e druk. Seattle: University Publication Services; 2004. http://depts.washington.edu/fasdpn/htmls/4-digit-code.htm

  14. Manning MA, Hoyme HE. Fetal alcohol spectrum disorders: A practical clinical approach to diagnosis. Neurosci Biobehav Rev. 2007;31:230-8 Medline. doi:10.1016/j.neubiorev.2006.06.016

  15. Astley SJ, Clarren SK. Diagnosing the full spectrum of fetal alcohol-exposed individuals: introducing the 4-Digit Diagnostic Code. Alcohol Alcohol. 2000;35:400-10 Medline. doi:10.1093/alcalc/35.4.400

  16. Bertrand J, Floyd RL, Weber MK, et al. National task force on fetal alcohol syndrome and fetal alcohol effect. Fetal alcohol syndrome: Guidelines for referral and diagnosis. Atlanta: Centers for Disease Control and Prevention (CDC); 2004.

  17. Chudley AE, Conry J, Cook JL, Loock C, Rosales T, LeBlanc N. Fetal alcohol spectrum disorder: Canadian guidelines for diagnosis. CMAJ. 2005;172:S1-S21 Medline. doi:10.1503/cmaj.1040302

  18. O’Connor MJ, Paley B. Psychiatric conditions associated with prenatal alcohol exposure. Dev Disabil Res Rev. 2009;15:225-34 Medline. doi:10.1002/ddrr.74

  19. Kodituwakku PW. Neurocognitive Profile in Children with FASD. Dev Disabil Res Rev. 2009;15:218-24 Medline. doi:10.1002/ddrr.73

  20. Astley SJ, Carmichael Olson H, Kerns K, et al. Neuropsychological and behavioural outcomes from a comprehensive magnetic resonance study of children with fetal alcohol spectrum disorders. Can J Clin Pharmacol. 2009;16:e178-201 Medline.

  21. Astley SJ. Comparison of the 4-Digit Diagnostic Code and the Hoyme Diagnostic Guidelines for Fetal Alcohol Spectrum Disorders. Pediatrics. 2006;118:1532-45 Medline. doi:10.1542/peds.2006-0577

  22. Gahagan S, Sharpe TT, Brimacombe M, et al. Pediatricians’ knowledge, training, and experience in the care of children with fetal alcohol syndrome. Pediatrics. 2006;118:e657-68 Medline. doi:10.1542/peds.2005-0516

  23. Elliott EJ, Payne J, Haan E, Bower C. Diagnosis of foetal alcohol syndrome and alcohol use in pregnancy: A survey of paediatricians’ knowledge, attitudes and practice. J Paediatr Child Health. 2006;42:698-703 Medline. doi:10.1111/j.1440-1754.2006.00954.x

  24. Wieringen H van, Rodrigues Pereira R, Cobben JM, Lindhout D. Signaleringsonderzoek foetaal alcohol syndroom, Jaarverslag Nederlands SignaleringsCentrum Kindergeneeskunde 2008; 28-9. TNO-rapport 2009.068. Leiden: TNO; 2009.

  25. Gareri, J, Lynn H, Handley M, Rao C, Koren G. Prevalence of fetal ethanol exposure in a regional population-based sample by meconium analysis of fatty acid ethyl esters. Ther Drug Monit. 2008;30:239-45.

  26. Hall JG et al, Handbook of normal physical measurements. Oxford: Oxford University Press; 1989.

Auteursinformatie

St. Antoniusziekenhuis, afd. Kindergeneeskunde, Nieuwegein.

Drs. H. van Wieringen, kinderarts, dr. W.A.F. Balemans, kinderarts-pulmonoloog en drs. S. de Ruiter, co-assistent.

Universitair Medisch Centrum Utrecht, afd. Medische Genetica, Utrecht.

Drs. T.G.W. Letteboer en prof.dr. D. Lindhout, klinisch genetici.

Maasstad Ziekenhuis, afd. Kindergeneeskunde, Rotterdam.

Drs. R. Rodrigues Pereira, kinderarts.

Contact drs H. van Wieringen (hvwieringen@antoniusziekenhuis.nl)

Verantwoording

Belangenconflict: geen gemeld. Financiële ondersteuning: geen gemeld.
Aanvaard op 10 maart 2010

Heb je nog vragen na het lezen van dit artikel?
Check onze AI-tool en verbaas je over de antwoorden.
ASK NTVG

Ook interessant

Reacties