De klinische relevantie van de meting van insuline-achtige groeifactoren in het plasma

Klinische praktijk
J. van Doorn
H.F. Oltmans
J.M. Wit
S.C. van Buul-Offers
M. Jansen
J.L. van den Brande
Download PDF

artikel

Insuline-achtige groeifactoren (IGF) I en II, ook wel somatomedinen genoemd, zijn kleine polypeptiden (molecuulgewicht respectievelijk 7,5 en 7,4 kD) die na binding aan receptoren op het plasmamembraan een belangrijke rol spelen bij de celproliferatie en -differentiatie. Daarnaast vertonen beide groeifactoren insulineachtige metabole effecten.1-3

IGF-I en -II worden in tal van organen, waaronder de lever, gesynthetiseerd en komen voor een deel in de circulatie terecht, gebonden aan verschillende specifiek IGF-bindende eiwitten. Deze bindende eiwitten verlengen de verblijfsduur van beide groeifactoren in plasma, vervullen een transportfunctie en moduleren de beschikbaarheid van IGF voor weefsels en daarmee het uiteindelijke biologische effect.3-5

In dit artikel wordt nader ingegaan op de factoren die van invloed zijn op de plasma-IGF-I-spiegel en het belang van de bepaling van deze groeifactor voor de klinische praktijk. Het onderzoek naar de betekenis van plasma-IGF-II-metingen bevindt zich thans nog in een experimenteel stadium; het wordt in dit artikel niet verder besproken.

Bepalingsmethode

De radio-immunologische bepaling van IGF-I (somatomedine-C) in serum of EDTA-plasma die in ons laboratorium wordt verricht, berust op het non-equilibriumprincipe.6 De in de plasmamonsters aanwezige IGF-bindende eiwitten kunnen de uitslagen beïnvloeden. Daarom worden deze eiwitten door middel van een zure-extractie-procedure (Seppak-C18-kolomchromatografie) gescheiden van de IGF's alvorens de metingen worden verricht.7

Fysiologische invloeden op het igf-i-gehalte in plasma

De plasma-IGF-I-spiegel staat voor een belangrijk deel onder invloed van groeihormoon (GH) – evenals de concentratie van een van de IGF-bindende eiwitten –, maar wordt daarnaast nog door een groot aantal factoren beïnvloed, zoals leeftijd, geslacht en voedingstoestand, alsmede de concentraties van diverse andere hormonen (thyroxine, geslachtssteroïden, corticosteroïden, insuline en prolactine).1-389

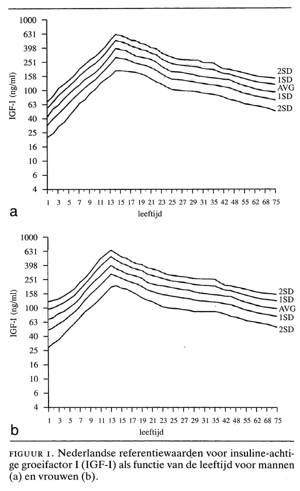
De plasma-IGF-I-spiegel is overdag relatief stabiel, zodat in de praktijk geen rekening gehouden hoeft te worden met het tijdstip van bloed-afnemen. Figuur 1 toont de in ons laboratorium gemeten IGF-I-referentiewaarden voor gezonde individuen als functie van de leeftijd. Het IGF-I-gehalte in de circulatie stijgt vanaf de geboorte tot aan de puberteit en de maximale waarde wordt bereikt rond de maximale groeisnelheid in de puberteit. Dit gaat gepaard met een toename van de GH-amplitude en de 24-uurssecretie, waarschijnlijk onder invloed van geslachtshormonen. Na de puberteit neemt de IGF-I-spiegel geleidelijk af, parallel aan de GH-secretie.

Indicaties voor igf-i-meting

Groeistoornissen bij kinderen

Trage groei

De differentiële diagnose van groeistoornissen omvat een groot aantal klinische beelden, waaronder hormonale deficiënties (GH-deficiëntie of hypothyreoïdie), diverse orgaan- en systeemaandoeningen en beelden die bekend zijn onder de namen ‘familiaire korte gestalte’ en ‘constitutioneel vertraagde groei en ontwikkeling’.10 De kinderarts die met langzaam groeiende kinderen wordt geconfronteerd, zal met een gerichte anamnese, lichamelijk onderzoek, constructie van de groeicurve en aanvullend onderzoek pogen om met een zo gering mogelijke belasting voor de patiënt en een zo groot mogelijke zekerheid te komen tot de juiste diagnose. Vooral het onderscheid tussen GH-deficiëntie enerzijds en familiaire korte gestalte en (of) constitutioneel vertraagde groei en ontwikkeling anderzijds is soms zeer moeilijk vast te stellen, aangezien de maximale GH-spiegel na een provocatietest (bijvoorbeeld met een arginine-infusie) niet erg reproduceerbaar is en een onbetrouwbare maat is voor de 24-uurs-GH-secretie.1 In dit diagnostisch proces is de bepaling van IGF-I nuttig, aangezien de IGF-I-spiegel in hoge mate wordt bepaald door de GH-secretie.11 Een lage of laag-normale IGF-I-spiegel is in overeenstemming met de diagnose ‘GH-deficiëntie’, terwijl een spiegel boven het gemiddelde voor de leeftijd deze diagnose vrijwel uitsluit. Hierbij is het van belang op te merken dat bij de interpretatie van de IGF-I-spiegel ook de skeletleeftijd dient te worden betrokken: bij jongens met constitutioneel vertraagde groei en ontwikkeling is het IGF-I-gehalte laag voor de leeftijd, maar normaal voor de skeletleeftijd.12 De IGF-I-bepaling kan derhalve goed gebruikt worden in het eerste screenende laboratoriumonderzoek bij langzaam groeiende kinderen. In het recente rapport Groeihormoon van de Gezondheidsraad wordt hierop nader ingegaan.13

De laatste jaren is gebleken dat er traag groeiende kinderen zijn met een normale toename van het plasmaGH-gehalte na provocatie, maar een lage spontane secretie van GH gemeten over een etmaal of tijdens de slaap en een lage IGF-I-spiegel, een beeld dat wordt aangeduid met de term ‘neurosecretoire dysfunctie’.14 Dit betekent dat de opeenvolging van IGF-I-meting, GH-provocatietest en meting van de spontane GH-secretie in beginsel zal kunnen leiden tot een onderscheid tussen klassieke GH-deficiëntie, neurosecretoire dysfunctie of biologisch inactief GH en beelden waarbij geen GH-insufficiëntie aanwezig is, uiteraard nadat andere mogelijke oorzaken zijn uitgesloten (figuur 2).

Behalve een belangrijk diagnostisch hulpmiddel is de IGF-I-bepaling ook een hulpmiddel bij het begrijpen van de pathofysiologische aspecten van diverse groeistoornissen. Zo wordt bij psychosociale deprivatie doorgaans een lage IGF-I-concentratie in het plasma gevonden, samengaande met een lage spontane GH-secretie en een lage of laag-normale GH-piek bij een provocatietest.15 De observatie dat na GH-injecties de IGF-I-spiegel stijgt, maar de groeisnelheid slechts weinig toeneemt, suggereert het bestaan van een IGF-I-resistentie bij dit ziektebeeld.16

Pasgeborenen met een intra-uteriene groeivertraging hebben lagere IGF-I-spiegels dan kinderen uit een controlegroep en het IGF-I-gehalte herstelt zich alleen bij de kinderen bij wie inhaalgroei optreedt.17 Bij thalassaemia major, die gewoonlijk gepaard gaat met een ernstige groeivertraging, is het IGF-I-gehalte laag bij een lage of laag-normale GH-secretie en er treedt geen stijging op na GH-injecties, hetgeen wijst op een (post-)GH-receptordefect.18 Afrikaanse pygmeeën vertonen, ondanks normale GH- en testosteronsecretie, geen stijging van het plasma-IGF-I-gehalte in de puberteit, terwijl er nauwelijks sprake is van een groeispurt.2 Gedacht wordt aan een stoornis in de regulatie van de expressie van het GH-receptor-gen: bij pygmeeën lijkt het aantal GH-receptoren per cel tijdens de puberteit niet of nauwelijks toe te nemen.19 Tegelijk onderbouwt deze bevinding de hypothese dat IGF-I een belangrijke rol speelt bij de groeispurt in de puberteit.

‘Laron-dwerggroei’ (een vorm van GH-resistentie) wordt onder meer gekenmerkt door een zeer lage plasma-IGF-I-waarde in combinatie met een verhoogde GH-spiegel. Het is niet uitgesloten dat deze, overigens zeldzame, afwijking behandeld kan worden door substitutie met IGF-I. Ten slotte zijn er patiënten beschreven met een groeiachterstand en verhoogde IGF-I-spiegels, hetgeen wijst op een verminderde gevoeligheid voor IGF-I.20 De observatie dat sommige kinderen bij wie zich door een craniofaryngioomoperatie een GH-deficiëntie heeft ontwikkeld, een normale groeisnelheid bij een normale IGF-I-spiegel vertonen, duidt erop dat de regulatie van de IGF-I-secretie ook via andere mechanismen dan via GH kan verlopen – bij deze kinderen mogelijk via een toegenomen prolactine- en insulinesecretie.21

Niet alleen in de diagnostische fase, maar ook tijdens een groeibevorderende therapie (bijvoorbeeld bij kinderen met GH-insufficiëntie, Turner-syndroom of chronische nierinsufficiëntie) is informatie omtrent de plasmaIGF-I-spiegels relevant. Tijdens behandeling met biosynthetisch GH is de IGF-I-respons zowel een maatstaf voor het effect van GH als een indicator van mogelijke overdosering.

Resumerend: de bepaling van IGF-I speelt een centraie rol in de diagnostiek bij trage groei, waardoor sneller en op een patiëntvriendelijker manier gekomen kan worden tot een betrouwbare diagnose.

Snelle groei

De differentiële diagnostiek bij kinderen met een ongewoon snelle groei betreft vooral constitutionele grote lengte, pubertas praecox, hypofysair gigantisme en diverse syndromen (Sotos-, Marfan-, ‘fragile X’-, Weaver-, Marshal-Smith-, Beckwith-Wiedemann-syndroom). De diagnose ‘pubertas praecox’ kan op klinische gronden worden gesteld; hierbij wordt gewoonlijk een IGF-I-spiegel gevonden die verhoogd is voor de leeftijd, maar vaak nog wel in overeenstemming is met de skeletleeftijd. Bij hypofysair gigantisme is de IGF-I-spiegel sterk verhoogd en dit bewijst in feite dat er van deze aandoening sprake is.22 Bij het Sotos-syndroom worden in de eerste jaren normale of verhoogde spiegels waargenomen en later waarden in het laag-normale gebied.23 Concluderend: ook bij snelle groei is de IGF-I-bepaling van waarde, vooral voor de diagnostiek van hypofysair gigantisme.

Vermoeden van een afwijkende GH-secretie bij volwassenen

Acromegalie

De plasmaspiegel van IGF-I is sterk afhankelijk van de GH-secretie, zodat het voor de hand ligt dat de spiegel verhoogd is bij patiënten met een GH-producerend adenoom (acromegalie). De IGF-I-spiegel was hierbij sterk gecorreleerd met zowel de mate van GH-oversecretie als de ernst van de klinische verschijnselen.24 Dit betekent dat ook bij patiënten bij wie het klinisch beeld van actieve acromegalie gepaard gaat met slechts een minimale verhoging van de GH-secretie, een duidelijk verhoogd IGF-I-gehalte gevonden wordt.25 Zeker bij deze patiënten geeft een IGF-I-bepaling dus meer informatie dan het gemiddelde van vier of meer plasma-GH-waarden.26 Bepaling van IGF-I betekent niet alleen een verbetering van de diagnostiek, maar ook een besparing, want het uitvoeren van een serie GH-metingen – waarvoor vaak een ziekenhuisopname nodig is – kan worden vermeden.

Behalve voor de diagnostiek van acromegalie is de IGF-I-bepaling een bijzonder belangrijke aanwinst voor het volgen van de effectiviteit van de behandeling. Dit is vooral van belang nu de medicamenteuze behandeling met bromocriptine en, recentelijk, somatostatine-analogen met succes wordt toegepast.2728

GH-deficiëntie

Tot op heden wordt bij patiënten met een vroeg ontstane GH-deficiëntie de GH-behandeling gestaakt bij het eindigen van de groei. Op latere leeftijd verworven GH-deficiëntie, bijvoorbeeld door hypofyse-of hypothalamustumoren of bestraling, wordt (nog) niet behandeld met GH-substitutietherapie. Nu biosynthetisch GH beschikbaar is, kan onderzocht worden of behandeling van volwassenen met GH-deficiëntie klinische voordelen heeft. Preliminaire gegevens hebben uitgewezen dat GH-substitutie de spierkracht en het algemeen welbevinden gunstig beïnvloedt.29 Zowel bij het diagnostiseren van GH-deficiëntie als bij het volgen van het effect van de behandeling is de IGF-I-spiegel de aangewezen maatstaf.

Stoornissen in de voedingstoestand

De IGF-I-spiegel is niet alleen afhankelijk van de GH-secretie, maar ook van de voedingstoestand. Enige dagen vasten veroorzaakt een spectaculaire daling van de IGF-I-spiegel.1030 De resultaten van onderzoeken waarbij het energie- en het eiwitgehalte werden gevarieerd, wezen uit dat hierbij zowel het energie- als het eiwitgehalte een rol speelt.3132 De veranderingen in plasma-IGF-I-spiegel blijken in het algemeen goed te correleren met die in de stikstofbalans. Zeer grote lichamelijke inspanning die samengaat met een energiedeficit geeft een daling van het IGF-I-gehalte die ongeveer gelijk is aan de daling bij een equivalente diëtetische energierestrictie zonder inspanning, maar in het eerste geval is de stikstofbalans minder negatief.33 Ook bij anorexia nervosa en bij kinderen met chronische eiwit-energie-ondervoeding zijn (sterk) verlaagde plasma-IGF-I-spiegels gevonden; doorgaans worden de spiegels weer normaal na realimentatie.33-36

Bij kinderen met obesitas kunnen zowel normale als verhoogde IGF-I-spiegels worden gemeten.3738 Er treedt echter nauwelijks een stijging op tijdens de puberteit, wat in de normale situatie wel gebeurt.39 Bij volwassenen met obesitas worden normale IGF-I-spiegels gevonden ondanks lage plasma-GH-spiegels, waarschijnlijk onder invloed van de hyperinsulinemie.40

Aangezien de IGF-I-spiegel een goede maatstaf is voor de voedingstoestand, kan de bepaling ervan gebruikt worden bij de evaluatie van een behandeling die is gericht op het verbeteren van de algemene voedingstoestand of op het bestrijden van specifieke deficiënties.4142 Gezien de bemoedigende resultaten van GH-behandeling bij volwassenen in een ernstige katabole toestand na een operatie,43 mag worden verwacht dat de plasma-IGF-I-spiegel een relevante maatstaf is voor het stellen van de indicatie tot GH-behandeling bij dergelijke patiënten en mag worden verondersteld dat de IGF-I-bepaling een rol kan spelen bij de evaluatie van de behandeling.

Chronische ziekten

Chronische inflammatoire darmziekten gaan gewoonlijk gepaard met een energetische insufficiëntie die op haar beurt de IGF-I-spiegels verlaagt. Het volgen van de IGF-I-spiegel tij dens de behandeling is een hulpmiddel om het effect van de behandeling op de voedingstoestand te objectiveren.44 Dit is ook mogelijk bij kinderen en adolescenten met andere ernstige chronische ziekten die gepaard gaan met een slechte voedingstoestand, zoals gegeneraliseerde juveniele chronische artritis.45

Kinderen met chronische nierinsufficiëntie vertonen vaak een sterk vertraagde groei, waarvan het pathofysiologische mechanisme nog niet is opgehelderd. Aangezien IGF-I een centrale plaats inneemt bij de groeiregulatie, is onderzoek verricht naar de GH- en IGF-I-spiegels bij dergelijke patiënten. Bij dit onderzoek is een grote variatie gevonden.7 Bij patiënten met een actief nefrotisch syndroom worden lage IGF-I-spiegels gevonden, waarschijnlijk door een toegenomen renaal verlies van de IGF-bindende eiwitten.46 Aangezien een groot deel van het IGF-I in de circulatie afkomstig is uit de lever, leidt ook leverinsufficiëntie tot sterk verlaagde spiegels.47

Patiënten met een slecht ingestelde van insuline afhankelijke diabetes mellitus hebben verlaagde IGF-I-spiegels.4849 Bij diabeticae blijkt de stijging van de IGF-waarden in de circulatie tijdens de zwangerschap minder te zijn dan bij controlepersonen.50

Pubertas praecox

Kinderen met vervroegde puberteit vertonen naast de kenmerken van toegenomen secretie van geslachtshormonen ook een versnelde groei. Bij dergelijke kinderen worden een toegenomen GH-secretie en toegenomen IGF-I-spiegels gevonden.51 Behandeling met ‘luteinizing hormone-releasing hormone’ (LH-RH)-analogen of anti-androgenen leidt tot een stagneren van de puberteitsontwikkeling, tot een tragere groei en een daling van de IGF-I-spiegel.5253 De IGF-I-spiegel kan worden gebruikt als maat voor de effectiviteit van de behandeling.

Conclusies

Het indicatiegebied voor de IGF-I-bepaling is in de afgelopen jaren aanzienlijk uitgebreid en deze meting speelt thans een essentiële rol bij de diagnostiek van een aantal ziektebeelden, zoals samengevat in de tabel. De bepaling draagt niet alleen bij tot een betere kwaliteit van de patiëntenzorg, maar ook tot financiële besparingen: een enkele IGF-I-meting geeft vaak meer informatie dan een groot aantal GH-metingen, die doorgaans alleen tijdens een ziekenhuisopname kunnen worden verricht.

Literatuur
  1. Daughaday WH, Rotwein P. Insulin-like growth factors I andII. Peptide, messenger ribonucleic acid and gene structures, serum, andtissue concentrations. Endocr Rev 1989; 10: 68-91.

  2. Humbel RE. Insulin-like growth factors I and II. Eur JBiochem 1990; 190: 445-62.

  3. Sara VR, Hall K. Insulin-like growth factors and theirbinding proteins. American Physiological Society 1990; 70: 591-614.

  4. Ooi GT. Insulin-like growth factor-binding proteins(IGFBPs): more than just 1, 2, 3. Mol Cell Endocrinol 1990; 71:C39-43.

  5. Brande JL van den. Somatomedins on the move. Horm Res1990; 33: 58-68.

  6. Furlanetto RW. Pitfalls in the somatomedin-Cradioimmunoassay. J Clin Endocrinol Metab 1982; 54: 1084-6.

  7. Hokken-Koelega ACS, Hackeng WHL, Stijnen T, Wit JM,Muinck-Keizer-Schrama SMPF de, Drop SLS. 24 hours plasma GH profiles, urinaryGH excretion and plasma IGF-I and II levels in prepuberal children withchronic renal insufficiency and severe growth retardation. J Clin EndocrinolMetab 1990; 71: 688-95.

  8. Ranke MB, Blum WF, Bierich JR. Clinical relevance of serummeasurements of insulin-like growth factors and somatomedin binding proteins.Acta Paediatr Scand 1988; 347:114-26.

  9. Furlanetto RW. Insulin-like growth factor measurements inthe evaluation of growth hormone secretion. Horm Res 1990; 33 (Suppl 4):25-30.

  10. Wit JM. Clinical aspects of growth factors. Front HormRes 1987; 17: 181-90.

  11. Sanayama K, Noda H, Konda S, et al. Spontaneous growthhormone secretion and plasma somatomedin-C in children of short statue.Endocrinol Jpn 1987; 34: 627-33.

  12. Rubin KR, Lichtenfels JM, Ratzan SK, Ozonoff M, Rowe DW,Carey DE. Relationship of somatomedin-C concentration to bone age in boyswith constitutional delay of growth. Am J Dis Child 1986; 140:555-8.

  13. Gezondheidsraad. Toepassing van biosynthetisch menselijkgroeihormoon. 's-Gravenhage: Gezondheidsraad, 1988.

  14. Spiliotis BE, August SP, Hung W, Sonis W, Mendelson W,Bercu BB. Growth hormone neurosecretory dysfunction. A treatable cause ofshort stature. JAMA 1984; 251: 2223-30.

  15. Stanhope R, Adlard P, Hamill G, Jones J, Skuse D, PreeceMA. Physiological growth hormone (GH) secretion during the recovery frompsychosocial dwarfism: a case report. Clin Endocrinol (Oxf) 1988; 28:335-9.

  16. Holmes NE, Blethen SL, Weldon VV. Somatomedin C responseto growth hormone in psychosocial growth retardation. Am J Med Sci 1984; 288:86-8.

  17. Thieriot-Prevost G, Boccara JF, Francoual C, Badoual J,Job JC. Serum insulin-like growth factor I and serum growth promotingactivity during the first postnatal year in infants with intrauterine growthretardation. Pediatr Res 1988; 24: 380-3.

  18. Werther GA, Matthews RN, Burger HG, Herington AC. Lack ofresponse of nonsuppressible insulin-like activity to short termadministration of human growth hormone in thalassemia major. J ClinEndocrinol Metab 1981; 53: 806-9.

  19. Merimee TJ, Baumann G, Daughaday W. Growthhormone-binding protein. II. Studies in pygmies and normal statured subjects.J Clin Endocrinol Metab 1990; 71 : 1183-8.

  20. Lanes R, Plotnick LP, Spencer EM, Daughaday WH, KowarskiAA. Dwarfism associated with normal serum growth hormone and increasedbioassayable, receptorassayable, and immunoassayablc somatomedin. J ClinEndocrinol Metab 1980; 50: 485-8.

  21. Bucher H, Zapf J, Torresani T, Prader A, Froesch ER,Illig R. Insulin-like growth factors I and II, prolactin, and insulin in 19growth hormone-deficient children with excessive, normal or decreasedlongitudinal growth after operation for craniopharyngioma. N Engl J Med 1983;309: 1142-6.

  22. Blumberg DL, Sklar CA, David R, Rothenberg S, Bell J.Acromegaly in an infant. Pediatrics 1989; 83: 998-1002.

  23. Wit JM, Beemer FA, Barth PG, et al. Cerebral gigantism(Sotos syndrome). Compiled data of 22 cases. Analysis of clinical features,growth and plasma somatomedin. Eur J Pediatr 1985; 144: 131-40.

  24. Clemmons DR, Wyk JJ van, Ridgway EC, Kliman B, KjellbergRN, Underwood LE. Evaluation of acromegaly by radioimmunoassay ofsomatomedin-C. N Engl J Med 1979; 301: 1138-42.

  25. Daughaday WH, Starkey RH, Saltman S, Gavin JR,Mills-Dunlap B, Heath-Monnig EH. Characterization of serum growth hormone(GF) and insulin-like growth factor I in active acromegaly with minimalelevation of serum GH. J Clin Endocrinol Metab 1987; 65: 617-23.

  26. Barreca A, Ciccarelli E, Minuto F, Bruzzi P, Giordano G,Camanni F. Insulin-like growth factor I and daily growth hormone profile inthe assessment of active acromegaly. Acta Endocrinol (Copenh) 1989; 120:629-35.

  27. Barakat S, Melmed S. Reversible shrinkage of a growthhormonesecreting pituitary adenoma by a long-acting somatostatin analogue,octreotide. Arch Intern Med 1989; 149: 1443-5.

  28. Wass JAH, Clemmons DR, Underwood LE, Barrow I, Besser GM,Wyk JJ van. Changes in circulating somatomedin-C levels inbromocriptine-treated acromegaly. Clin Endocrinol (Oxf) 1982; 17:369-77.

  29. Jorgensen JOL, Pedersen SA, Thuesen L, et al. Beneficialeffects of growth hormone treatment in GH-deficient adults. Lancet 1989; i:1221-5.

  30. Clemmons DR, Klibanski A, Underwood LE, et al. Reductionof plasma immunoreactive somatomedin C during fasting in humans. J ClinEndocrinol Metab 1981; 53: 1247-50.

  31. Isley WL, Underwood LE, Clemmons DR. Dietary componentsthat regulate serum somatomedin-C concentrations in humans. J Clin Invest1983; 71: 175-82.

  32. Isley WL, Underwood LE, Clemmons DR. Changes in plasmasomatomedin-C in response to ingestion of diets with variable protein andenergy content. JPEN J Parenter Enteral Nutr 1984; 8: 407-11 .

  33. Smith AT, Clemmons DR, Underwood LE, Ben-Ezra V, McMurrayR. The effect of exercise on plasma somatomedin-Cinsulinlike growthfactor I concentration. Metabolism 1987; 36: 533-7.

  34. Cabranes JA, Almoguera I, Santos JL, Hidalgo I, BorqueMM, del Olmo J. Somatomedin-C and growth hormone levels in anorexia nervosain relation to the puberal or post puberal stages. Prog NeuropsychopharmacolBiol Psychiatry 1988; 12: 865-71.

  35. Rappaport R, Prevot C, Czernichow P. Somatomedin activityand growth hormone secretion; changes related to body weight in anorexianervosa. Acta Paediatr Scand 1980; 69: 37-41 .

  36. Soliman AT, Hassan AEHI, Aref MK, Hintz RL, Rosenfeld RG,Rogol AD. Serum insulin-like growth factors I and II concentrations andgrowth hormone and insulin responses to arginine infusion in children withprotein-energy malnutrition before and after nutritional rehabilitation.Pediatr Res 1986; 20: 1122-30.

  37. Loche S, Cappa M, Borrelli P, et al. Reduced growthhormone response to growth hormone-releasing hormone in children with simpleobesity: evidence for somatomedin-C mediated inhibition. Clin Endocrinol(Oxf) 1987; 27: 145-53.

  38. Rosskamp R, Becker M, Soetadji S. Circulatingsomatomedin-C levels and the effect of growth hormone releasing factor onplasma levels of growth hormone and somatostatin-like immunoreactivity inobese children. Eur J Pediatr 1987; 146: 48-50.

  39. Minuto F, Barreca A, Del Monte P, et al. Spontaneousgrowth hormone and somatomedin-Cinsulin-like growth factor-I secretionin obese subjects during puberty. J Endocrinol Invest 1988; 11:489-95.

  40. Glass AR, Burman KD, Dahms WT, Boehm TM. Endocrinefunction in human obesity. Metabolism 1981; 30: 89-104.

  41. Minuto F, Barreca A, Adami GF, et al. Insulin-like growthfactor-I in human malnutrition: relationship with some body composition andnutritional parameters. JPEN J Parenter Enteral Nutr 1989; 13:392-6.

  42. Clemmons DR, Underwood LE, Dickerson RN, et al. Use ofplasma somatomedin-Cinsulin-like growth factor I measurements to monitorthe response to nutritional repletion in malnourished patients. Am J ClinNutr 1985; 41: 191-8.

  43. Ponting GA, Halliday D, Teale JD, Sim AJW. Postoperativepositive nitrogen balance with intravenous hyponutrition and growth hormone.Lancet 1988; 1: 438-40.

  44. Kirschner BS, Sutton MM. Somatomedin-C levels ingrowthimpaired children and adolescents with chronic inflammatory boweldisease. Gastroenterology 1986; 91: 830-6.

  45. Bennett AE, Silverman ED, Miller III JJ, Hintz RL.Insulin-like growth factors I and II in children with systemic onset juvenilearthritis. J Rheumatol 1988; 15: 655-8.

  46. Gavin EH, Grant MB, Silverstein JH. Insulin-like growthfactors in patients with active nephrotic syndrome. Am J Dis Child 1989; 143:865-7.

  47. Minuto F, Barreca A, Del Monte P, et al. In vivo and invitro effect of liver on somatomedin generation. Horm Metab Res 1984; 16:663-6.

  48. Rieu M, Binoux M. Serum levels of insulin-like growthfactor (IGF) and IGF-binding protein in insulin-dependent diabetics during anepisode of severe metabolic decompensation and the recovery phase. J ClinEndocrinol Metab 1985; 60: 781-5.

  49. Salardi S, Cacciari E, Ballardini D, et al. Relationshipsbetween growth factors (somatomedin-C and growth hormone) and bodydevelopment, metabolic control, and retinal changes in children andadolescents with IDDM. Diabetes 1986; 35: 832-6.

  50. Bhaumick B, Danilkewich AD, Bala RM. Insulin-like growthfactors (IGF) I and II in diabetic pregnancy: suppression of normalpregnancy-induced rise of IGF-I. Diabetologia 1986; 29: 792-7.

  51. Rappaport R, Prevot C, Brauner R. Somatomedin-C andgrowth in children with precocious puberty: a study of the effect of thelevel of growth hormone secretion. J Clin Endocrinol Metab 1987; 65:1112-7.

  52. Mansfield MJ, Rudlin CR, Crigler JF, et al. Changes ingrowth and serum growth hormone and plasma somatomedin-C levels duringsuppression of gonadal sex steroid secretion in girls with central precociouspuberty. J Clin Endocrinol Metab 1988; 66: 3-9.

  53. Harris DA, Van Vliet G, Egli CA, et al. Somatomedin-C innormal puberty and in true precocious puberty before and after treatment witha potent luteinizing hormone-releasing hormone agonist. J Clin EndocrinolMetab 1985; 61: 152-9.

Auteursinformatie

Wilhelmina Kinderziekenhuis, afd. Endocrinologie, Nieuwe Gracht 137, 3512 LK Utrecht.

Dr.J.van Doorn, biochemicus; H.F.Oltmans, analist; mw.dr.S.C.van Buul-Offers, bioloog; dr.J.M.Wit, dr.M.Jansen en prof.dr.J.L.van den Brande, kinderartsen-endocrinologen.

Contact dr.J.van Doorn

Heb je nog vragen na het lezen van dit artikel?
Check onze AI-tool en verbaas je over de antwoorden.
ASK NTVG

Ook interessant

Reacties