De Accutrend-glucose-cholesterolmeter in de huisartspraktijk vergeleken met laboratoriumbepalingen

Onderzoek
Abstract
K.W.F. Tersmette
G.J. Dinant
J.W.J. van Wersch

Samenvatting

Doel

Vaststellen in welke mate er overeenkomst bestaat in de klinische consequenties die, volgens de standaarden ‘Diabetes mellitus type II’ en ‘Cholesterol’ van het Nederlands Huisartsen Genootschap (NHG), volgen op gemeten glucose- en cholesterolwaarden met enerzijds de Accutrend-glucose-cholesterolmeter in de huisartspraktijk en anderzijds de gangbare bepalingen in het laboratorium.

Opzet

Vergelijkend onderzoek.

Plaats

Twee huisartspraktijken in Zuid-Limburg.

Methode

Bij 66 niet van insuline afhankelijke diabetici en 34 patiënten bij wie geen diabetes was gediagnostiseerd, werden met de Accutrend-glucose-cholesterolmeter de glucose- en de cholesterolconcentratie gemeten in capillair bloed. In gelijktijdig afgenomen veneus bloed werden in het laboratorium, op de aldaar gebruikelijke wijze, nogmaals deze metingen verricht. De klinische consequenties die volgens de NHG-standaarden volgden op de metingen in de huisartspraktijk en het laboratorium werden met elkaar vergeleken en wanneer deze bestonden uit verschillende adviezen werden ze klinisch relevant genoemd.

Resultaten

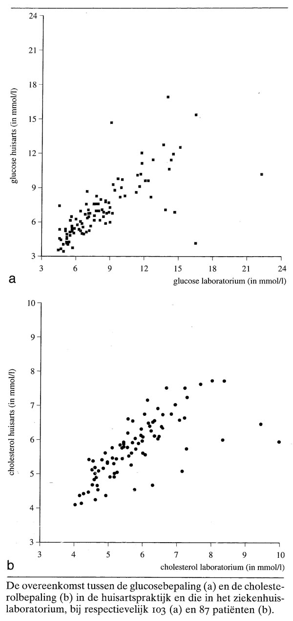
In 5 van de gevallen werd een klinisch relevant verschil gevonden tussen de door de huisarts en het laboratorium gemeten glucosewaarden. Bij de cholesterolbepaling was dit bij 18 van de patiënten het geval. Voorts viel bij 16 van de cholesterolbepalingen in de huisartspraktijk de uitslag buiten het bereik van de meter.

Conclusie

De Accutrend-glucose-cholesterolmeter is een goede meter bij gebruik in de huisartspraktijk voor de bloedglucosebepaling. Ten aanzien van de bloedcholesterolbepaling is zowel kwaliteit als bereik vooralsnog onvoldoende.

Auteursinformatie

Rijksuniversiteit Limburg, vakgroep Huisartsgeneeskunde, Postbus 616, 6200 MD Maastricht.

K.W.F.Tersmette en dr.G.J.Dinant, huisartsen.

De Wever Ziekenhuis, Hematologisch Laboratorium, Heerlen.

Dr.J.W.J.van Wersch, klinisch chemicus.

Contact dr.G.J.Dinant

Heb je nog vragen na het lezen van dit artikel?
Check onze AI-tool en verbaas je over de antwoorden.
ASK NTVG

Ook interessant

Reacties