Analyse van meldingen bij Lareb

Trombose en embolie bij gebruik van Diane-35

Abstract
Florence P.A.M. van Hunsel
Agnes C. Kant
Eugène P. van Puijenbroek
Download PDF

Samenvatting

Na aandacht in de media voor de mogelijke risico’s op trombo-embolische complicaties bij gebruik van cyproteron/ethinylestradiol (Diane-35 en generieke middelen) ontving het Nederlands Bijwerkingen Centrum Lareb in korte tijd een groot aantal meldingen. Wij beschrijven de meldingen van de ernstige bijwerkingen nader, waarbij we ook keken naar de indicatie, latentietijd en risicofactoren, de herkenning van de complicatie, de behandeling en het beloop. De meldingen bij Lareb laten de aard en de impact van het optreden hiervan zien in de dagelijkse praktijk. Onder meer werd aangegeven dat het middel vaak voor anticonceptie gebruikt werd. Ook werd in een aantal meldingen aangegeven dat trombose en embolie bij gebruiksters niet altijd vroegtijdig herkend werd.

Er is recent veel aandacht geweest voor het geneesmiddel cyproteron/ethinylestradiol 2 mg/0,035 mg, dat verkrijgbaar is als Diane-35 en als enkele generieke varianten. Begin februari 2013 heeft het risicobeoordelingscomité voor geneesmiddelenbewaking (Pharmacovigilance Risk Assessment Committee, PRAC) van de European Medicines Agency (EMA) besloten tot een herbeoordeling van dit geneesmiddel. Deze procedure werd gestart naar aanleiding van het voornemen van de Franse geneesmiddelautoriteit Agence Nationale de Sécurité du Médicament et des Produits de Santé om binnen 3 maanden deze geneesmiddelen voor de behandeling van acne van de markt te halen na analyse van onder andere meldingen van trombose.1,2

Cyproteron/ethinylestradiol is in Nederland sinds 1987 op de markt en geregistreerd voor de behandeling van acne, seborroe of licht hirsutisme bij vrouwen in de geslachtsrijpe leeftijd, voor zover hormonale behandeling noodzakelijk wordt geacht.3 Hoewel het ook werkzaam is als oraal anticonceptivum, dient het door vrouwen niet alleen als zodanig te worden gebruikt. Het zou voorbehouden moeten worden aan vrouwen die behandeling van androgeenafhankelijke aandoeningen nodig hebben. Er wordt aangeraden de behandeling te stoppen 3-4 maanden nádat de huidaandoening of -aandoeningen waarvoor het middel werd voorgeschreven, zijn verdwenen.3 In 2011 waren er 161.270 gebruikers van cyproteron/ethinylestradiol in Nederland.4

Het is bekend dat gecombineerde anticonceptiva de kans op veneuze trombose verhogen. De kans op het optreden van een veneuze trombose bij de derde-generatieanticonceptiva is hierbij hoger dan die bij middelen van de eerste en tweede generatie.5 Het risico op veneuze trombose bij gebruik van cyproteron/ethinylestradiol is vergelijkbaar met dat van de derde-generatieanticonceptiva.3 Het risico neemt toe met de leeftijd, bij een positieve familieanamnese, bij immobilisatie en operatie (vooral van de benen), bij grote traumata, bij obesitas (BMI: > 30 kg/m2), bij roken, en mogelijk ook bij spontane oppervlakkige flebitis en varicosis.6 Ook is het gebruik van alle hormonale anticonceptiva in verband gebracht met een mogelijk verhoogd risico op arteriële trombo-embolische aandoeningen.3

Zorgverleners en gebruikers van geneesmiddelen kunnen vermoedens van een bijwerking vertrouwelijk melden bij het Nederlands Bijwerkingen Centrum Lareb. Dit instituut stelt zich ten doel inzicht te krijgen in het optreden en de aard van mogelijke bijwerkingen nadat geneesmiddelen tot de Nederlandse markt zijn toegelaten. De omstandigheden waaronder geneesmiddelen in de praktijk gebruikt worden, zullen immers verschillen met die van de preklinische onderzoeken.7 Het is vanzelfsprekend niet mogelijk aan de hand van de meldingen het verband met een geneesmiddel te bevestigen en een betrouwbare schatting te maken van de incidentie van bijwerkingen.

Na de aandacht in de media voor de risico’s op trombo-embolische complicaties ontving Lareb in korte tijd een groot aantal meldingen, voornamelijk van gebruikers van dit middel. In dit onderzoek beschrijven wij de meldingen over het gebruik van cyproteron/ethinylestradiol, inclusief mogelijke risicofactoren voor complicaties en redenen voor gebruik, en laten we het belang van het melden van bijwerkingen zien. Daarbij tonen we de werkwijze van het omgaan met meldingen zoals Lareb die hanteert.

Analyse van de meldingen

De meldingen bij Lareb van trombose of embolieën bij gebruik van cyproteron/ethinylestradiol werden nader geanalyseerd. Dit betrof alle meldingen vanaf het moment van ontvangst van de eerste melding in 1991 tot en met 3 april 2013. Indien nodig werden aanvullende vragen gesteld over mogelijke risicofactoren, diagnostiek en behandeling van de bijwerking. Bij meldingen van gebruikers werd zo nodig toestemming gevraagd om contact op te nemen met de behandelend arts voor nadere informatie.

De volgende aspecten werden in de analyse van de meldingen specifiek belicht:

  • Gemelde bijwerking: veneuze trombose, longembolieën of ongespecificeerde trombose, of arteriële trombose (onder andere myocardinfarct en TIA).

  • Melder: huisarts, specialist, openbare apotheker of ziekenhuisapotheker, andere zorgverlener, of gebruiker.

  • Ernst van de gemelde bijwerkingen: een melding werd als ‘ernstig’ beschouwd volgens geldende internationale criteria als er sprake was van het overlijden van de patiënt, ziekenhuisopname, blijvende arbeidsongeschiktheid, aangeboren afwijkingen of andere ernstige aandoeningen.8

  • Indicatie: officieel geregistreerde indicaties acne, hirsutisme of seborroe alsmede de indicaties anticonceptie en ‘overige indicaties’.

  • Latentietijd: de tijd tussen de start van het gebruik van cyproteron/ethinylestradiol en het optreden van de bijwerking.

  • Tijd tussen het optreden van de eerste symptomen en de diagnose of behandeling.

  • Vervolgtraject: staken van cyproteron/ethinylestradiol, behandeling en herstel van de patiënt.

  • Andere risicofactoren voor de bijwerkingen zoals beschreven in de productinformatie: leeftijd, BMI, roken, eerder optreden trombose, voorgeschiedenis van trombose in directe familie, immobilisatie, aanwezigheid maligniteiten, voorgeschiedenis van flebitis of varices, hypertensie, migraine, hypercholesterolemie, cardiale aandoeningen, en stollingsafwijkingen waaronder factor V-Leiden.3

Resultaten

Tot en met 3 april 2013 ontving Lareb in totaal 621 meldingen over het gebruik van cyproteron/ethinylestradiol. Figuur 1 laat het jaarlijkse aantal meldingen zien sinds 2000. Door de media-aandacht werden 388 van deze meldingen ontvangen ná 1 februari 2013. Van de 621 meldingen waren er 309 waarin trombo-embolische bijwerkingen genoemd werden. Hiervan waren 299 meldingen ‘ernstig’ volgens internationale criteria;8 18 keer ging het om een overlijden. (Tot en met 29 april 2014 is een totaal aantal van 41 meldingen van overlijden ontvangen.)

Figuur 1

De melder van de trombo-embolische bijwerkingen bij Lareb was meestal de patiënt of een betrokkene zoals een familielid (n = 291; 94%). Daarnaast werden 7 meldingen ingestuurd door medisch specialisten, 5 door een huisarts, 4 door een openbare apotheker, 1 door een ziekenhuisapotheker en 1 door de farmaceutische industrie.

Indicaties, bijwerkingen en latentietijd

De vermelde indicaties voor gebruik van cyproteron/ethinylestradiol waren acne (n =147), orale anticonceptie (n = 122), hirsutisme (n = 10) of ‘overige indicaties’ (n = 15); de reden voor het gebruik was 15 keer niet aangegeven. In de 309 meldingen werden in totaal 375 trombo-embolische bijwerkingen beschreven; 1 patiënt kan meerdere bijwerkingen ondervinden. Veneuze trombose werd 40 maal gemeld, longembolie 155 maal, arteriële trombose 52 maal, en 128 maal was de trombose ongespecificeerd. In het overgrote deel van deze meldingen (n = 261) werd vermeld dat cyproteron/ethinylestradiol werd gestaakt na het optreden van de klachten. Informatie over het herstel van de patiënten is weergegeven in tabel 1.

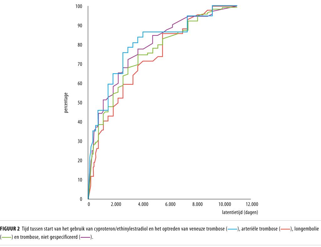
Figuur 2

Bij 261 van de 309 patiënten met een trombo-embolische bijwerking werd aangegeven dat behandeling met anticoagulantia plaatsgevonden had. Bij 31 patiënten werd vermeld dat er enige tijd zat tussen het optreden van de eerste symptomen en de diagnose of behandeling van de bijwerking, of dat de diagnose niet direct duidelijk was. Het aantal dagen werd niet altijd gespecificeerd.

De latentietijd van de bijwerkingen was bekend voor 243 meldingen. De gemiddelde latentietijd was 7,1 jaar, doordat er bij enkele patiënten een latentietijd van tientallen jaren was. De mediaan van de latentietijd was 5,0 jaar. Bij 25% van de meldingen was de latentietijd korter dan 1 jaar en bij 40% minder dan 3 jaar. In figuur 2 wordt de latentietijd weergegeven voor de verschillende typen trombo-embolische bijwerkingen.

Figuur 3

Risicofactoren

De leeftijd van de patiënten was bekend bij 306 meldingen en was gemiddeld 30,5 jaar (SD: 10,5; spreiding: 14-57). De gemiddelde BMI van de patiënten was 24,3 kg/m2 (SD: 4,3; spreiding: 17-43).

In tabel 2 worden de risicofactoren getoond die in de analyse zijn meegenomen voor de patiënten met trombo-embolische bijwerkingen (n = 309). De meest voorkomende risicofactoren waren roken en immobilisatie. In 14 meldingen (4,5% van totaal) werd de aanwezigheid van factor V-Leiden genoemd. Er waren ook 11 patiënten die getest waren, maar bij wie geen factor V-Leiden aangetoond werd. Er was geen verschil in de verdeling van de risicofactoren wanneer deze werden uitgezet tegen de primaire indicatie waarvoor de patiënten cyproteron/ethinylestradiol gebruikten (bekend bij 294 patiënten).

Figuur 4

Beschouwing

Na de media-aandacht in 2013 is een groot aantal bijwerkingen over trombo-embolische complicaties alsnog gemeld bij Lareb. Graag had Lareb deze meldingen eerder gehad, zodat informatie over het optreden van deze ernstige bijwerkingen in de praktijk wellicht beter gedocumenteerd was en beschreven had kunnen worden. Opmerkelijk is dat gebruiksters vaker melden dan zorgverleners. Alhoewel zorgverleners verplicht zijn ernstige bijwerkingen te melden,9 gebeurt dit nog weinig. Dit komt mogelijk door onbekendheid met deze verplichting of doordat men zich niet bewust is dat dit ook geldt voor bekende ernstige risico’s. De aard van de dataverzameling – vrijwillige rapportage – brengt met zich mee dat er sprake is van selectiebias en onderrapportage. Informatie over de aan- of afwezigheid van risicofactoren bleek vaak niet te achterhalen te zijn. Dat een bijwerking op het moment van melding vaak al langgeleden optrad, speelde daarbij ongetwijfeld een rol.

De lange gebruiksduur van soms tientallen jaren die sommige patiënten aangaven, is waarschijnlijk niet conform het advies in de officiële productinformatie. Hierin wordt aangeraden de behandeling te stoppen 3-4 maanden nádat de aandoening is verdwenen waarvoor het middel werd voorgeschreven.3 Bij 31 van de 309 meldingen werd aangegeven dat de trombose in eerste instantie niet als zodanig herkend werd door de patiënt of haar zorgverlener. Bij een aantal patiënten die bijvoorbeeld met benauwdheid bij hun arts kwamen stond trombose door pilgebruik wellicht niet hoog genoeg in de differentiaaldiagnose. Patiënten waren ook niet altijd op de hoogte van de eerste uitingen van trombose.

De Europese herbeoordeling van cyproteron/ethinylestradiol heeft inmiddels plaatsgevonden. Naast een forse aanscherping van de indicatie en de huidige productinformatie heeft de Pharmacovigilance Risk Assessment Committee een aantal maatregelen aanbevolen om de kennis over risicofactoren voor het optreden van trombo-embolieën verder te vergroten en de symptomen snel te herkennen, zodat deze tijdig en juist behandeld kunnen worden.10

Conclusie

Het risico op trombose en embolie bij het gebruik van cyproteron/ethinylestradiol is bekend. De meldingen bij Lareb laten de aard en de impact van het optreden hiervan zien in de dagelijkse praktijk. Er werd onder meer aangegeven dat het middel vaak voor anticonceptie gebruikt werd. Ook werd in een aantal meldingen aangegeven dat de opgetreden trombose en embolie bij gebruiksters niet altijd vroegtijdig herkend werd.

Literatuur
  1. European Medicines Agency starts safety review of Diane 35 and its generics. European Medicines Agency, press release 8 februari 2013.

  2. Herbeoordeling Diane-35 en generieken. College ter Beoordeling van Geneesmiddelen, nieuwsbericht 8 februari 2013.

  3. Diane-35. Samenvatting van de productkenmerken. Utrecht: College ter Beoordeling van Geneesmiddelen; 2010.

  4. Zorginstituut Nederland. GIP databank. www.gipdatabank.nl/databank.asp?tabel=01-basis&geg=gebr&item=G03HB01, geraadpleegd 29 april 2014.

  5. Stegeman BH, de Bastos M, Rosendaal FR, van Hylckama Vlieg A, Helmerhorst FM. Different combined oral contraceptives and the risk of venous thrombosis: systematic review and network meta-analysis. BMJ. 2013;347:f5298 Medline. doi:10.1136/bmj.f5298

  6. Lidegaard O, Lokkegaard E, Svendsen AL, Agger C. Hormonal contraception and risk of venous thromboembolism: national follow-up study. BMJ. 2009;339:b2890 Medline. doi:10.1136/bmj.b2890

  7. Stricker BH, Psaty BM. Detection, verification, and quantification of adverse drug reactions. BMJ. 2004;329:44-7 Medline. doi:10.1136/bmj.329.7456.44

  8. Reporting adverse drug reactions, definitions of terms and criteria for their use. Genève: Council for International Organizations of Medical Sciences; 1999.

  9. Ministerie Volksgezondheid, Welzijn en Sport. Geneesmiddelenwet. http://wetten.overheid.nl/BWBR0021505/geldigheidsdatum_10-03-2014.

  10. PRAC-aanbeveling Diane-35 en generieke varianten wordt onderschreven door CMDh. College ter Beoordeling van Geneesmiddelen, nieuwsbericht 31 mei 2013.

Auteursinformatie

Nederlands Bijwerkingen Centrum Lareb, ‘s-Hertogenbosch.

Afd. Directie: dr. AC. Kant, epidemioloog.

Contact prof.dr. E.P. van Puijenbroek (e.vanpuijenbroek@lareb.nl)

Verantwoording

Belangenconflict en financiële ondersteuning: geen gemeld.
Aanvaard op 6 januari 2014

Auteur Belangenverstrengeling
Florence P.A.M. van Hunsel ICMJE-formulier
Agnes C. Kant ICMJE-formulier
Eugène P. van Puijenbroek ICMJE-formulier
Pilaffaires
Heb je nog vragen na het lezen van dit artikel?
Check onze AI-tool en verbaas je over de antwoorden.
ASK NTVG

Ook interessant

Reacties

Gratis Ask NTVG uitproberen?

Maak met 2 klikken een gratis account aan

Account aanmaken

Heb je al een account of een abonnement? Inloggen

Altijd toegang tot alle publicaties van het NTVG?

Abonneer vandaag nog!

Online toegang tot alle artikelen
Gepersonaliseerde alerts voor artikelen en dossiers
Artikelen voor opleiding en nascholing mét geaccrediteerde toetsen
Onbeperkt luisteren naar de NTVG-podcast
Antwoorden op al je vragen via de AI-toepassing 'Ask NTVG'

Neem het digitaal ntvg abonnement

€ 15,93 per maand!

Ik wil digitaal
NTVG nummer 2 2026
NTVG nummer 3 2026
NTVG nummer 4 2026