Minder ziekenhuisopnames, operaties en gebruik van glucocorticoïden

Veranderingen in de behandeling van ziekte van Crohn*

Onderzoek
Abstract
Steven F.G. Jeuring
Tim R.A. van den Heuvel
Maurice P. Zeegers
Jeoffrey J. Haans
Mariëlle J.L. Romberg-Camps
Liekele E. Oostenbrug
Laurents P.S. Stassen
Ad A.M. Masclee
Daisy M.A.E. Jonkers
Marieke J. Pierik

Samenvatting

Doel

Het bestuderen van veranderingen in de behandeling en het ziektebeloop van patiënten met de ziekte van Crohn in Zuid-Limburg in de jaren 1991-2014.

Opzet

Populatiebreed cohortonderzoek.

Methode

De 1162 patiënten met de ziekte van Crohn in het ‘IBD Zuid Limburg’-cohort werden verdeeld in 3 subcohorten op basis van het jaar waarin de diagnose gesteld was: 1991-1998 (n = 316), 1999-2005 (n = 387) en 2006-2011 (n = 459). Wij vergeleken de risico’s op een ziekenhuisopname, darmresectie en het ontstaan van darmstricturen en -fistels tussen de subcohorten. Daarnaast vergeleken we het cumulatieve gebruik van glucocorticoïden en bestudeerden we de relatie tussen de uitkomstmaten en onderhoudsmedicatie.

Resultaten

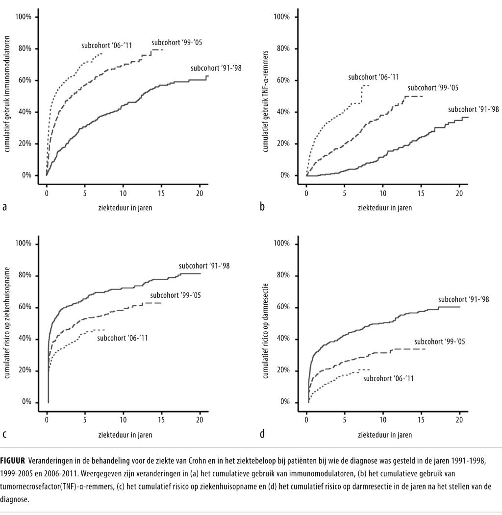
In de periode 1991-2014 nam het aantal patiënten dat binnen 5 jaar na de diagnose werd behandeld met immunomodulatoren toe van 30,6 naar 70,8%; voor biologicals steeg dit percentage van 3,1 naar 41,2%. Parallel hieraan nam het risico op een ziekenhuisopname af van 65,9 naar 44,2% en het risico op een darmresectie van 42,9 naar 17,4%. Het risico op het ontwikkelen van darmstricturen of -fistels bleef stabiel (21,2%). Er was geen significant verband tussen de uitkomstmaten en het gebruik van immunomodulatoren of biologicals. Verder daalde het gebruik van glucocorticoïden in de loop van de tijd; dit hield wél verband met het toegenomen gebruik van immunomodulatoren en biologicals.

Conclusie

In de afgelopen twee decennia is de behandeling voor de ziekte van Crohn veranderd en is het ziektebeloop gunstiger geworden. Wij vonden geen relatie tussen de veranderingen in onderhoudsmedicatie en het ziektebeloop.

Auteursinformatie

*Dit onderzoek werd eerder gepubliceerd in The American Journal of Gastroenterology (2017;112:325-36) met als titel ‘Improvements in the long-term outcome of Crohn’s disease over the past two decades and the relation to changes in medical management: results from the population-based IBDSL cohort’. Afgedrukt met toestemming.

Maastricht Universitair Medisch Centrum +, Maastricht.

Afd. Interne Geneeskunde, onderafdeling maag-darm-leverziekten: drs. S.F.G. Jeuring, arts-onderzoeker en mdl-arts in opleiding; drs. T.R.A. van den Heuvel en dr. D.M.A.E. Jonkers mdl-onderzoekers; dr. J.J. Haans, prof.dr. A.A.M. Masclee en dr. M.J. Pierik, mdl-artsen (allen tevens: NUTRIM, Maastricht).

School of Nutrition and Translational Research in Metabolism (NUTRIM): prof.dr. M.P. Zeegers, epidemioloog.

Afd. Algemene Heelkunde: prof.dr. L.P.S. Stassen, chirurg.

Zuyderland Medisch Centrum, afd. Interne Geneeskunde en Maag-darm-leverziekten, Heerlen en Sittard-Geleen.

Dr. M.J.L. Romberg-Camps en dr. L.E. Oostenbrug, mdl-artsen.

Contact drs. S.F.G. Jeuring (steven.jeuring@maastrichtuniversity.nl)

Belangenverstrengeling

Belangenconflict en financiële ondersteuning: dit onderzoek werd financieel ondersteund met subsidie uit het Europese ‘Zevende kaderprogramma’. ICMJE-formulieren met de belangenverklaring van de auteurs zijn online beschikbaar bij dit artikel.

Auteur Belangenverstrengeling
Steven F.G. Jeuring ICMJE-formulier
Tim R.A. van den Heuvel ICMJE-formulier
Maurice P. Zeegers ICMJE-formulier
Jeoffrey J. Haans ICMJE-formulier
Mariëlle J.L. Romberg-Camps ICMJE-formulier
Liekele E. Oostenbrug ICMJE-formulier
Laurents P.S. Stassen ICMJE-formulier
Ad A.M. Masclee ICMJE-formulier
Daisy M.A.E. Jonkers ICMJE-formulier
Marieke J. Pierik ICMJE-formulier
Heb je nog vragen na het lezen van dit artikel?
Check onze AI-tool en verbaas je over de antwoorden.
ASK NTVG

Ook interessant

Reacties

Gratis Ask NTVG uitproberen?

Maak met 2 klikken een gratis account aan

Account aanmaken

Heb je al een account of een abonnement? Inloggen

Altijd toegang tot alle publicaties van het NTVG?

Abonneer vandaag nog!

Online toegang tot alle artikelen
Gepersonaliseerde alerts voor artikelen en dossiers
Artikelen voor opleiding en nascholing mét geaccrediteerde toetsen
Onbeperkt luisteren naar de NTVG-podcast
Antwoorden op al je vragen via de AI-toepassing 'Ask NTVG'

Neem het digitaal ntvg abonnement

€ 15,93 per maand!

Ik wil digitaal
NTVG nummer 2 2026
NTVG nummer 3 2026
NTVG nummer 4 2026