Van gen naar ziekte; 'apparent mineralocorticoid excess'-syndroom, een syndroom met ogenschijnlijke overmaat aan mineralocorticoïden

Klinische praktijk
Abstract
E.N. Levtchenko
J. Deinum
N.V.A.M. Knoers
A.R. Hermus
L.A.H. Monnens
J.W.M. Lenders
Citeren

Inleiding

de ziekte

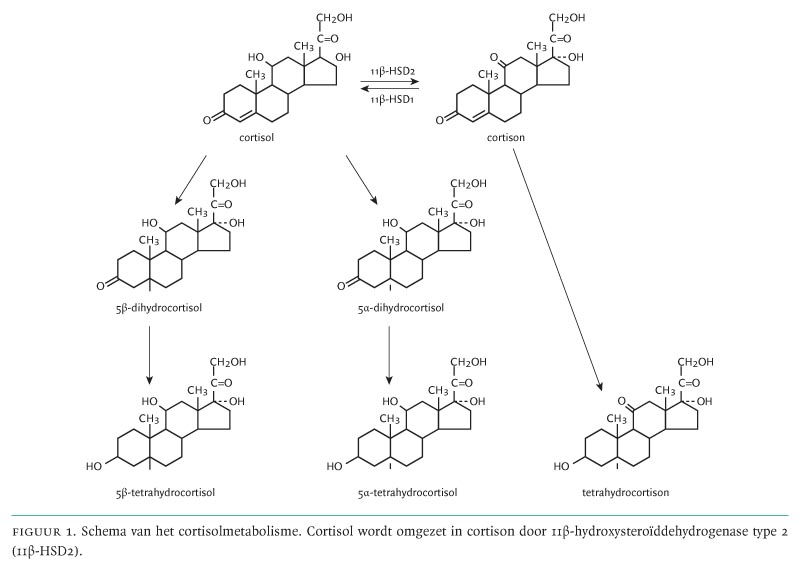
De autosomaal recessief overervende ziekte, ‘apparent mineralocorticoid excess’ (ogenschijnlijke overmaat aan mineralocorticoïden; AME; Online Mendelian Inheritance in Man nr. 218030, www.ncbi.nlm.nih.gov) wordt veroorzaakt door verminderde of afwezige activiteit van het enzym 11?-hydroxysteroïddehydrogenase type 2 (11?-HSD2). Dit enzym zet cortisol om in het inactieve cortison en beschermt op die manier de mineralocorticoïdreceptor tegen stimulatie door cortisol (figuur 1).

Bij de ernstigste vorm (AME type 1) zijn er al vroegtijdig symptomen, zoals een laag geboortegewicht en onvoldoende gewichtstoename en lengtegroei gedurende de eerste levensjaren. De uitgesproken hypokaliëmie kan leiden tot spierzwakte, rabdomyolyse en stoornissen in het concentrerend vermogen van de nier, hetgeen zich uit in polyurie en polydipsie.1 Verder lijden AME-patiënten aan ernstige hypertensie, die linkerventrikelhypertrofie en een hypertensieve retinopathie veroorzaakt. Meer dan 10 van de patiënten overlijdt op jeugdige leeftijd ten gevolge van een intracraniële bloeding, een herseninfarct of hartfalen. Een lichte vorm van AME…

Auteursinformatie

Universitair Medisch Centrum St Radboud, Postbus 9101, 6500 HB Nijmegen.

Afd. Kindergeneeskunde/Kindernefrologie: mw.dr.E.N.Levtchenko en hr.prof.dr.L.A.H.Monnens, kindernefrologen.

Afd. Algemeen Inwendige Geneeskunde: hr.dr.J.Deinum en hr.prof.dr.J.W.M.Lenders, internisten.

Afd. Antropogenetica: mw.prof.dr.N.V.A.M.Knoers, klinisch geneticus.

Afd. Endocriene Ziekten: hr.prof.dr.A.R.Hermus, internist-endocrinoloog.

Contact mw.dr.E.N.Levtchenko (e.levtchenko@cukz.umcn.nl)

Ook interessant

Reacties

Gratis Ask NTVG uitproberen?

Maak met 2 klikken een gratis account aan

Account aanmaken

Heb je al een account of een abonnement? Inloggen

Altijd toegang tot alle publicaties van het NTVG?

Abonneer vandaag nog!

Online toegang tot alle artikelen
Gepersonaliseerde alerts voor artikelen en dossiers
Artikelen voor opleiding en nascholing mét geaccrediteerde toetsen
Onbeperkt luisteren naar de NTVG-podcast
Antwoorden op al je vragen via de AI-toepassing 'Ask NTVG'

Neem het digitaal ntvg abonnement

€ 15,93 per maand!

Ik wil digitaal
NTVG nummer 2 2026
NTVG nummer 3 2026
NTVG nummer 4 2026