Pijnlijke huidafwijkingen bij twee pasgeborenen: neonatale subcutane vetnecrose

Klinische praktijk
Abstract
J. Dudink
B.M. Roeten
L.H. van der Meer-Kappelle
F.J. Walther
Download PDF

Samenvatting

Twee pasgeborenen, meisjes, kregen na een gecompliceerde geboorte pijnlijke huidafwijkingen typisch voor neonatale subcutane vetnecrose. Dit is een zeldzame en vaak erg pijnlijke huidafwijking waarvan de pathogenese onbekend is. Patiënten hebben rood-paarse erythemateuze, scherp begrensde, geïndureerde subcutane noduli van vetnecrose. De ziekte heeft doorgaans een goedaardig beloop waarbij de behandeling vooral ondersteunend is en met name uit voldoende pijnstilling bestaat, maar trombocytopenie en hypercalciëmie zijn complicaties die levensbedreigend kunnen zijn als ze niet adequaat worden behandeld. Beide pasgeborenen kregen trombocytopenie en symptomatische hypercalciëmie. Beide neonati herstelden na een langdurige periode van hypercalciëmie en hielden er littekens aan over.

artikel

Inleiding

Pijnlijke huidaandoeningen bij de neonatus zijn zeldzaam. Een voorbeeld is neonatale subcutane vetnecrose. Hoewel deze huidaandoening in principe benigne en voorbijgaand is, kunnen de complicaties leiden tot een hoge morbiditeit en soms zelfs tot overlijden.1 2 Neonatale subcutane vetnecrose wordt gekarakteriseerd door scherp begrensde, vaak pijnlijke, geïndureerde noduli van vetnecrose. De huidafwijkingen manifesteren zich met name op rug, billen en schouders en ontstaan in de eerste dagen tot weken na een gecompliceerde geboorte.

De pathogenese van subcutane vetnecrose is onbekend. Trombocytopenie en hypercalciëmie zijn complicaties bij deze aandoening en kunnen levensbedreigend zijn als ze niet adequaat worden behandeld.2-5 In dit artikel beschrijven wij de ziektegeschiedenis van 2 pasgeborenen met deze ziekte.

ziektegeschiedenissen

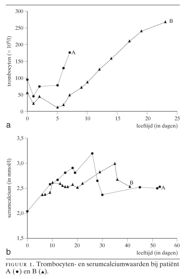
Patiënt A was een meisje dat bij een amenorroeduur van 39 weken werd geboren na een spoedsectio caesarea op foetale indicatie. Haar geboortegewicht was 3586 g. De Apgar-scores waren 6 en 8 na respectievelijk 1 en 5 min. Het navelstrengbloed had een pH van 7,03, een PCO2 van 10,9 kPa en een basenoverschot van –8,9 mmol/l. Zij werd opgenomen op de couveuseafdeling en kreeg tot 40 zuurstof in de couveuse in verband met respiratoire problemen. Op de eerste dag na de geboorte had zij 2 episoden met trekkingen waarvoor fenobarbital intraveneus werd toegediend. Patiëntje maakte een geprikkelde indruk, had pijn en toonde tekenen van meningismus. Bepaling van het volledige bloedbeeld, elektrolyten en onderzoek van de liquor toonden behoudens linksverschuiving en een passagère trombocytopenie (47 × 109/l; figuur 1) geen afwijkingen, de concentratie C-reactieve proteïne (CRP) was 26 mg/l. Hoewel de bloed- en liquorkweken steriel bleven, werd patiëntje behandeld als had zij meningitis met amoxicilline en cefotaxim gedurende 10 dagen.

Het trombocytenaantal herstelde spontaan binnen 4 dagen. Op dag 3 kreeg patiëntje rood-paarse erythemateuze huidafwijkingen op haar rug. De afwijkingen waren pijnlijk bij palpatie en waren typisch voor subcutane vetnecrose. Patiëntje kreeg paracetamol als pijnstilling. Op dag 9 werd bij laboratoriumonderzoek een hypercalciëmie (2,58 mmol/l; normaal: 2,10-2,55) waargenomen (zie figuur 1). De serumcalciumconcentratie bleef stabiel met hyperhydratie (170 ml/kg/dag) en patiëntje werd op dag 10 uit het ziekenhuis ontslagen.

Twee weken later steeg de serumcalciumconcentratie opnieuw (3,2 mmol/l) na een periode van verminderde voedselinname bij een virale bovensteluchtweginfectie. Patiëntje werd opnieuw opgenomen en de hypercalciëmie werd weer behandeld met hyperhydratie (180 ml/kg/dag), een babyvoeding met weinig calcium en vitamine D (Locasol, Nutricia Nederland BV), diuretica (furosemide 1 mg/kg/dag en spironolacton 1 mg/kg/dag) en prednison (2 mg/kg/dag). Na 2 dagen daalde de calciumspiegel en kon patiëntje ontslagen worden; de babyvoeding (166 ml/kg/dag) en het extra water (15 ml/kg/dag) werden voortgezet, evenals de prednison; deze laatste in een aflopend doseringsschema. Na enkele weken werden de huidafwijkingen minder rood en na 3 maanden waren ze verdwenen, maar lieten wel littekens achter.

Patiënt B was een voldragen meisje dat werd geboren na een spoedsectio caesarea wegens foetale nood bij meconiumhoudend vruchtwater. Haar geboortegewicht was 4320 g, Apgar-scores waren 4, 8 en 9 na respectievelijk 1, 5 en 10 min. Haar navelstrengbloed had een pH van 6,84, een PCO2 van 13,8 kPa en een basenoverschot van –16,3 mmol/l. Aanvankelijk knapte zij goed op, maar 24 h later moest zij geïntubeerd en beademd worden wegens toenemende dyspnoe, een oplopende PCO2 en een snel toenemende zuurstofbehoefte. Er werd gedacht aan meconiumaspiratiesyndroom, maar op de thoraxröntgenfoto was alleen diffuse sluiering te zien. Er werd een dosis surfactant gegeven en na afname van bloed voor kweken kreeg patiëntje amoxicilline en cefotaxim. Het bloedbeeld liet een trombocytopenie zien van 11 × 109/l (zie figuur 1), waarvoor 1 maal een trombocytentransfusie werd gegeven. Er was geen diffuse intravasale stolling of allo-immune trombocytopenie.

Patiëntje kon na 24 h gedetubeerd worden. Alle kweken bleven steriel en de toediening van antibiotica werd na 7 dagen gestopt. Op dag 3 kreeg zij pijnlijke, rode, oedemateuze, harde nodulaire afwijkingen ter hoogte van nek, rug en schouders (figuur 2a). Aanvullend laboratoriumonderzoek liet een hypoalbuminemie zien van 18 g/l, maar geen hypercalciëmie. In verband met oedemateuze afwijkingen werd de vochtinname verminderd en werden furosemide (1,5-2 mg/kg/dag) en eenmalig albuminesuppletie gegeven (1 g/kg). Omdat patiëntje slecht dronk en braakte, kreeg zij een elementaire babyvoeding (Pregestimil, Mead Johnson), aangevuld met intraveneus toegediende glucose-10- en mineralenoplossing. Haar calciuminname was daardoor ongeveer 60 mg/kg/dag (normaal 90 ml/kg/dag). Toen zij drie weken later weer volledige flesvoeding kreeg (Nutrilon premium, Nutricia Nederland BV) en haar calciuminname daarmee toenam, kreeg patiëntje hypercalciëmie (maximumcalciumwaarde 2,99 mmol/l; zie figuur 1) en werd de diagnose ‘neonatale subcutane vetnecrose’ gesteld. De huidinfiltraten waren zeer pijnlijk en behandeling met paracetamol was niet voldoende, afgemeten aan een gevalideerde pijnscore. Daarom kreeg zij intraveneuze toediening van morfine in oplopende dosering tot 20 ?g/kg/h, later werd dit gecombineerd met diclofenac (3 mg/kg/dag). Na 4 weken kon de pijnmedicatie langzaam worden afgebouwd. De hypercalciëmie werd behandeld met een babyvoeding met een laag calcium- en vitamine-D-gehalte (Locasol).

Tijdens de opname waren de bevindingen bij neurologisch onderzoek niet-afwijkend, behoudens een matige zuigreflex waarvoor een logopedist werd ingeschakeld. MRI op de leeftijd van 2 maanden liet een normale anatomie van de hersenen zien en er waren geen tekenen van hypoxische schade.

Poliklinisch werd patiëntje gedurende bijna 2 jaar gevolgd. Het beloop werd gekenmerkt door een langdurig bijna afwezig blijven van de zuigreflex, een versterkte braakreflex en geprikkeld gedrag. Gedurende een lange tijd was bijvoeding met sondevoeding nodig. Pas op de leeftijd van anderhalf jaar kon de volledige vochtinname per os worden gegeven. Tijdens de polikliniekbezoeken werden er regelmatig hoge calciumwaarden (tussen de 2,55-2,80 mmol/l) gevonden. Bij herhaling waren de serumuitslagen van parathormoon niet-afwijkend, evenals die van schildklierfunctievariabelen, van 1,25-dihydroxyvitamine D en van alkalische fosfatase. De subcutane vetnecrose verdween, maar er ontstond een atrofie van het onderhuidse vet en spierdystrofie ter hoogte van de oude necroseplekken (zie figuur 2b).

beschouwing

De 2 ziektegeschiedenissen illustreren de morbiditeit van de complicaties van neonatale subcutane vetnecrose. Subcutane vetnecrose is een zeldzame, meestal pijnlijke huidaandoening met een onbekende pathogenese. De aandoening wordt met name gezien bij aterme en serotien geborenen en wordt in de eerste dagen tot weken na de geboorte zichtbaar. De huidaandoening lijkt gerelateerd te zijn aan perinatale asfyxie, trauma en hypothermie, maar is ook beschreven na hypothermie ten gevolge van cardiale chirurgie.6-8 De neonati zijn vaak per sectionem geboren; wellicht ligt hier een deel van de oorzaak (denk aan asfyxie en hypothermie). Hoe vaak de aandoening voorkomt, is onbekend; wel wordt gedacht dat deze vaak wordt gemist, gezien de grote variabiliteit in het ziektebeloop en het zelflimiterende karakter van de aandoening. De afwijkingen verschijnen als alleenstaande of multipele gelokaliseerde, pijnlijke, scherp omschreven, geïndureerde plekken. De afwijkingen kunnen over de gehele huid voorkomen, maar voorkeursplekken zijn de rug, billen en schouders, zoals bij de beschreven patiënten. Aanvullend histopathologisch onderzoek van biopten uit de afwijkingen toont een lymfocytair infiltraat, gemengd met histiocyten en fibroblasten met necrose van het vetweefsel en meerkernige reuscellen.9 Met gepolariseerd licht kunnen kristallen aangetoond worden en doorgaans zijn ook calciumdeposities aanwezig. In plaats van een biopt kan ook een dunnenaaldaspiraat voor histopathologisch onderzoek bewerkt worden.10

Subcutane vetnecrose wordt beschreven als een relatief onschuldige huidaandoening waarbij de behandeling vooral ondersteunend is en met name uit voldoende pijnstilling bestaat. De meeste afwijkingen herstellen spontaan en verdwijnen in een periode van enkele weken, soms met verlittekening van de huid. Er is geen specifieke behandeling voor deze huidaandoening.

Differentiaaldiagnostisch moet men denken aan sclerema neonatorum, cysteuze onderliggende oorzaken bij solitaire afwijkingen en koudepanniculitis wanneer voorafgaande koude-expositie heeft plaatsgevonden.

Pathofysiologie

De pathogenese van subcutane vetnecrose is onbekend. Er wordt wel gedacht dat koude of stress beschadiging van vetcellen bij jonge kinderen kan veroorzaken die kan resulteren in vetnecrose en de ontwikkeling van een granulomateus infiltraat.6 Vet bij de neonatus bevat meer verzadigde vetzuren, vooral stearaat- en palmitaatvetzuren, en heeft een relatief hoog smeltpunt, namelijk 64°C.8 Vet bij volwassenen daarentegen bevat meer onverzadige vetzuren (oliezuur) en heeft een lager smeltpunt. Verschillende mechanismen voor het ontstaan van de necrose zijn voorgesteld: (a) een onderliggend defect van het neonatale vetmetabolisme, met een verhoging van verzadigde vetzuren in het subcutane vetweefsel; (b) vetnecrose door lokale traumatisering tijdens de bevalling; (c) hypothermie waardoor het subcutane vet kristalliseert, hetgeen de vetcellen vernietigt met een granulomateuze ontstekingsreactie als gevolg.1 4

Hypercalciëmie

Aanzienlijke morbiditeit en sterfte kunnen vóórkomen bij de met de aandoening gepaard gaande hypercalciëmie.2-5 De precieze oorzaak van de hypercalciëmie is onbekend, wel zijn er verschillende theorieën over.11 12 Het calcium kan direct afkomstig zijn uit de necrotische vetcellen, de macrofagen in het ontstekingsproces kunnen meer 1,25-dihydroxyvitamine D produceren, hetgeen de botresorptie en indirect de serumcalciumconcentratie verhoogt13 en tenslotte kunnen endogeen en exogeen verhoogde prostaglandine-E-waarden leiden tot activatie van osteoclasten en toename van de botomzetting.14 Symptomen van hypercalciëmie bij een neonatus zijn onder meer: geprikkeld gedrag, verminderde eetlust, braken, obstipatie, apathie, hypotonie en niet-gedijen (‘failure to thrive’). Met name het geprikkelde gedrag kwam bij de beschreven patiënten voor. Bij hogere calciumconcentraties is er kans op hartritmestoornissen en calcificaties. Calcificaties kunnen optreden in het hart, de lever en de nieren en ter hoogte van de huid (in de afwijkingen).15 Hieruit blijkt het belang van de routinematige controle van de calciumspiegel bij patiënten met deze huidaandoening. De hypercalciëmie wordt behandeld met hyperhydratie, furosemide, prednison en een calcium- en vitamine-D-arm dieet (tabel).11 16 Furosemide en prednison verhogen de calciumuitscheiding via de urine, terwijl prednison door een verlaging van de serumspiegel van 1,25-dihydroxyvitamine D ook de calciumopname uit de darm vermindert. Ondanks deze behandeling kan de hypercalciëmie langdurig blijven bestaan; bisfosfonaten kunnen dan uitkomst bieden doordat ze de botresorptie door hoge 1,25-dihydroxyvitamine-D-serumspiegels verminderen.16 17

conclusie

Neonatale subcutane vetnecrose staat bekend als een huidaandoening met een relatief goedaardig karakter. In het beloop staan de uitgesproken pijnklachten, alsmede trombocytopenie en hypercalciëmie op de voorgrond. Bij de door ons beschreven patiënten viel op dat de hypercalciëmie lang bleef bestaan en dat de huidafwijkingen tot littekenvorming leidden. Naast vroegtijdig stellen van de diagnose is tijdige herkenning van de complicaties van neonatale subcutane vetnecrose van belang.

Belangenconflict: geen gemeld. Financiële ondersteuning: geen gemeld.

Literatuur
  1. Burden AD, Krafchik BR. Subcutaneous fat necrosis of thenewborn: a review of 11 cases. Pediatr Dermatol 1999;16:384-7.

  2. Fliers EA, Sillevis Smitt JH, Zaane DJ van. Adiponecrosissubcutanea neonatorum met hypercalciëmie.Ned Tijdschr Geneeskd 1984;128:401-4.

  3. Thomsen RJ. Subcutaneous fat necrosis of the newborn andidiopathic hypercalcemia. Report of a case. Arch Dermatol1980;116:1155-8.

  4. Hicks MJ, Levy ML, Alexander J, Flaitz CM. Subcutaneousfat necrosis of the newborn and hypercalcemia: case report and review of theliterature. Pediatr Dermatol 1993;10:271-6.

  5. Lum CK, Solomon IL, Bachrach LK. Asymptomatichypercalcemia in subcutaneous fat necrosis. Clin Pediatr (Phila)1999;38:547-50.

  6. Chuang SD, Chiu HC, Chang CC. Subcutaneous fat necrosis ofthe newborn complicating hypothermic cardiac surgery. Br J Dermatol1995;132:805-10.

  7. Glover MT, Catterall MD, Atherton DJ. Subcutaneous fatnecrosis in two infants after hypothermic cardiac surgery. Pediatr Dermatol1991;8:210-2.

  8. Silverman AK, Michels EH, Rasmussen JE. Subcutaneous fatnecrosis in an infant, occurring after hypothermic cardiac surgery. Casereport and analysis of etiologic factors. J Am Acad Dermatol 1986;15:331-6.

  9. Fretzin DF, Arias AM. Sclerema neonatorum and subcutaneousfat necrosis of the newborn. Pediatr Dermatol 1987;4:112-22.

  10. Walker WP, Smith RJ, Cohen MB. Fine-needle aspirationbiopsy of subcutaneous fat necrosis of the newborn. Diagn Cytopathol1993;9:329-32.

  11. Ghirri P, Bottone U, Coccoli L, Bernardini M, Vuerich M,Cuttano A, et al. Symptomatic hypercalcemia in the first months of life:calcium-regulating hormones and treatment. J Endocrinol Invest1999;22:349-53.

  12. Cook JS, Stone MS, Hansen JR. Hypercalcemia inassociation with subcutaneous fat necrosis of the newborn: studies ofcalcium-regulating hormones. Pediatrics 1992;90:93-6.

  13. Kruse K, Irle U, Uhlig R. Elevated 1,25-dihydroxyvitaminD serum concentrations in infants with subcutaneous fat necrosis. J Pediatr1993;122:460-3.

  14. Sharata H, Postellon DC, Hashimoto K. Subcutaneous fatnecrosis, hypercalcaemia, and prostaglandin E. Pediatr Dermatol1995;12:43-7.

  15. Dudink J, Walther FJ, Beekman RP. Subcutaneous fatnecrosis of the newborn: hypercalcaemia with hepatic and atrial myocardialcalcification. Arch Dis Child Fetal Neonatal Ed 2003;88:F343-5.

  16. Rice AM, Rivkees SA. Etidronate therapy for hypercalcemiain subcutaneous fat necrosis of the newborn. J Pediatr1999;134:349-51.

  17. Shoemaker LR. Expanding role of bisphosphonate therapy inchildren. J Pediatr 1999;134:264-7.

Auteursinformatie

Leids Universitair Medisch Centrum, afd. Kindergeneeskunde, Neonatologisch Centrum, Postbus 9600, 2300 RC Leiden.

J.Dudink, assistent-geneeskundige; prof.dr.F.J.Walther, kinderarts-neonatoloog.

Reinier de Graaf Gasthuis, afd. Kindergeneeskunde, Delft.

Mw.B.M.Roeten, assistent-geneeskundige; mw.L.H.van der Meer-Kappelle, kinderarts-neonatoloog.

Contact prof.dr.F.J.Walther (fwalther@lumc.nl)

Heb je nog vragen na het lezen van dit artikel?
Check onze AI-tool en verbaas je over de antwoorden.
ASK NTVG

Ook interessant

Reacties