Waar wachten we nog op?

Leeftijdsspecifieke referentie-intervallen voor TSH en schildklierhormoon‡

Illustratie van Thyroxine
Dubbelpublicatie
Abstract
Wendy P.J. den Elzen
Heleen I. Jansen
Niek F. Dirks
Jacquelien J. Hillebrand
A.S. Paul van Trotsenburg
Martin den Heijer
Eveline Bruinstroop
Anita Boelen
Annemieke C. Heijboer
Download PDF

Schildklierhormonen behoren tot de meest aangevraagde laboratoriumtesten. De referentiewaarden van deze bepalingen voor volwassenen houden geen rekening met de leeftijd van de patiënt. Dat zou wel moeten, blijkt uit dit onderzoek.

Samenvatting

Inleiding

De meeste laboratoria maken voor volwassenen geen onderscheid in referentie-intervallen voor TSH of schildklierhormonen op basis van leeftijd. In een landelijke studie hebben we TSH- en FT4-leeftijdsspecifieke referentie-intervallen vastgesteld.

Resultaten

Voor kinderen van 2-12 jaar lagen de referentie-intervallen voor TSH hoger dan voor volwassenen. Bij volwassenen steeg de bovengrens van het TSH-referentie-interval vanaf 50-60 jaar bij zowel mannen als vrouwen, terwijl de ondergrens stabiel bleef tot 80 jaar. De FT4-referentie-intervallen lieten een minder uitgesproken trend zien.

Met deze leeftijdsspecifieke referentie-intervallen zagen we bij vrouwen van 50-60 jaar een afname van de diagnose ‘subklinische hypothyreoïdie’ van 13,1% naar 8,6%; bij vrouwen van 90-100 jaar daalde dit van 22,7% naar 8,1%. Bij mannen van 60-70 jaar was er een daling van 10,9% naar 7,7%, bij mannen van 90-100 jaar van 27,4% naar 9,6%.

Conclusie

Deze studie bevestigt het belang van implementatie van leeftijdsspecifieke referentie-intervallen voor TSH en FT4 om het aantal klinisch niet-relevante diagnoses ‘subklinische hypothyreoïdie’ te verminderen.

artikel

Manifeste en subklinische hypo- en hyperthyreoïdie worden vastgesteld op basis van de combinatie van de concentraties van thyreoïdstimulerend hormoon (TSH) en vrij thyroxine (FT4). In de meeste Nederlandse laboratoria wordt, zoals aanbevolen in richtlijnen,1 bij het vermoeden van een schildklierfunctiestoornis TSH gemeten. Als die waarde afwijkend is (dat wil zeggen: een uitslag buiten het referentie-interval), wordt ook het FT4 bepaald.

Voor pasgeborenen moeten specifieke referentie-intervallen voor TSH en FT4 worden toegepast.2 Daarnaast wordt aanbevolen om ook tijdens de daaropvolgende kindertijd leeftijdsspecifieke referentie-intervallen voor TSH en FT4 te gebruiken.3 Dergelijke leeftijdsspecifieke referentie-intervallen worden door veel Nederlandse laboratoria gehanteerd. De meeste laboratoria passen na de kindertijd geen leeftijdsspecifieke referentie-intervallen meer toe. Er zijn echter aanwijzingen uit observationele studies dat TSH- en FT4-concentraties variëren met de leeftijd; met name de TSH-concentraties bij volwassenen lijken toe te nemen bij het ouder worden.4-6

Passende referentie-intervallen voor schildklieraandoeningen zijn van belang, omdat onterechte diagnoses kunnen leiden tot onnodige vervolgdiagnostiek, onnodige onrust bij de patiënt, onnodige behandeling en medicalisering, en onnodige kosten. Daarom hebben wij in een landelijke retrospectieve studie leeftijdsspecifieke referentie-intervallen voor TSH en FT4 vastgesteld voor de vier gangbare meetmethodes. Hiervoor maakten wij gebruik van miljoenen laboratoriumuitslagen, afkomstig van laboratoria verspreid over Nederland.

Methode

Wij voerden een retrospectieve multicentrische studie uit met historische gegevens van 13 Nederlandse laboratoria uit de periode 2008-2022. We gebruikten anonieme TSH- en FT4-uitslagen van eerste- en tweedelijnspatiënten, waarbij alle resultaten van een patiënt werden geëxcludeerd als er meerdere resultaten van die patiënt binnen één kalenderjaar aanwezig waren, om het percentage laboratoriumuitslagen van patiënten die mogelijk een schildklieraandoening hebben te verminderen.

De laboratoria bestreken het grootste deel van Nederland (Atalmedial Diagnostische Centra, Amsterdam; Noordwest Ziekenhuisgroep, Alkmaar; St. Jansdal Ziekenhuis, Harderwijk; Meander Medisch Centrum, Amersfoort; St. Antonius Ziekenhuis, Nieuwegein; Dicoon Ziekenhuis Gelderse Vallei, Ede; Treant Zorggroep, Hoogeveen; VieCuri Medisch Centrum, Venlo; Eurofins Gelre, Apeldoorn; Saltro Diagnostisch Centrum, Utrecht; Nij Smellinghe Ziekenhuis, Drachten; Diagnostiek voor U, Eindhoven; Stichting Certe Medische Diagnostiek en Advies, Groningen).

De TSH- en FT4-concentraties werden gemeten met de geautomatiseerde immunoassays van de vier gangbare fabrikanten in Nederland, te weten Cobas Modular (Roche Diagnostics, Mannheim, Duitsland), Architect (Abbott Diagnostics, IL, VS), Unicel Dxl (Beckman Coulter Inc, CA, VS) en Centaur en Atellica (Siemens Diagnostics, Duitsland).

De referentie-intervallen werden berekend met de indirecte methode,7 voor TSH met behulp van de Truncated-Minimum-Chi-Square-methode (TMC; TMC Software Manual, versie 13, revisie 2022-11-15) en voor FT4 met refineR (R-pakket refineR versie 1.6.0).8 Bij toepassing op historische laboratoriumuitslagen waarvan slechts een klein deel (< 10%) afkomstig is van patiënten met een aandoening, overtreffen deze statistische methodes de directe methode (met 120 gezonde individuen) voor het vaststellen van referentie-intervallen.8 De resultaten werden per fabrikant geanalyseerd.

We pasten 2-jaarscategorieën toe voor de leeftijd van 2 tot 20 jaar, gevolgd door 10-jaarscategorieën voor de leeftijd van 20-100 jaar. Vervolgens onderzochten we of de diagnoses van al dan niet subklinische hypothyreoïdie en hyperthyreoïdie veranderden bij het toepassen van geslachts- en leeftijdsspecifieke referentie-intervallen bij volwassenen in de dataset van laboratoria die gebruikmaakten van Roche Diagnostics.

Meer gedetailleerde informatie over de methoden en statistiek is te vinden in onze eerdere publicaties.9,10

Resultaten

In totaal hebben we 7,6 miljoen TSH- en 2,2 miljoen FT4-uitslagen geanalyseerd.

Kinderen

Voor kinderen van 2 tot 12 jaar lagen de referentie-intervallen voor TSH significant hoger dan de referentie-intervallen voor volwassenen. Vanaf 12 jaar daalden de referentie-intervallen en deze stabiliseerden tussen 14 en 18 jaar rond het referentie-interval voor volwassen. De bovengrenzen van de referentie-intervallen voor FT4 waren gedurende de kindertijd vrij stabiel, met een kleine daling tussen 12 en 14 jaar. De ondergrenzen waren tot de leeftijd van 10 jaar aanzienlijk hoger dan bij volwassenen en daalden vanaf 11 jaar tot de ondergrens van het referentie-interval bij volwassen.

Volwassenen

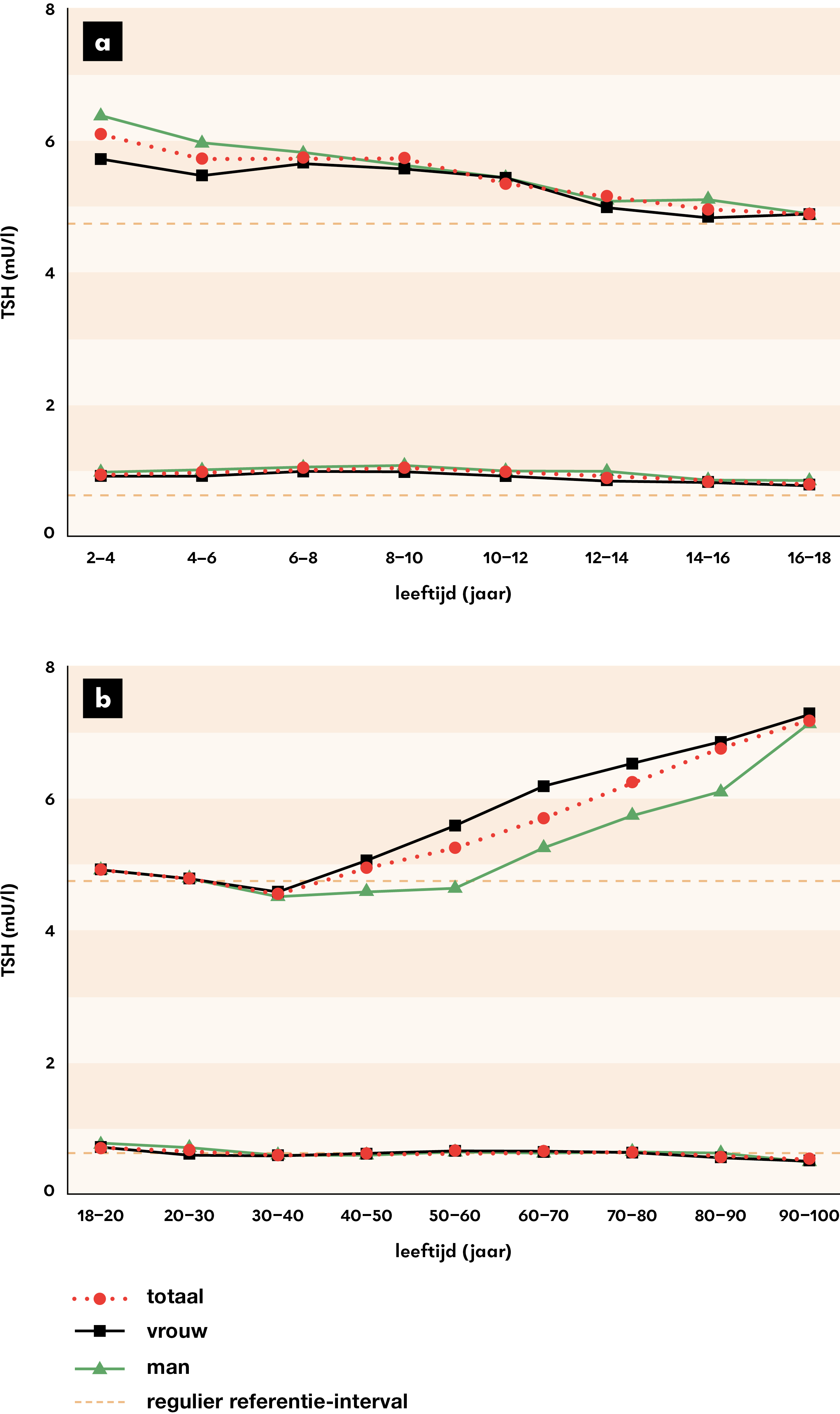
Bij volwassenen stegen de bovengrenzen van de TSH-referentie-intervallen bij vrouwen vanaf 50 jaar en bij mannen vanaf 60 jaar, terwijl de ondergrenzen stabiel bleven tot de leeftijd van 80 jaar. Voor FT4 stegen de bovengrenzen van de referentie-intervallen vanaf 70 jaar. De ondergrenzen bleven stabiel bij zowel vrouwen als mannen. In figuur 1 laten we als voorbeeld de TSH-referentie-intervallen zien voor kinderen (figuur 1a) en volwassenen (figuur 1b), gemeten met de Roche-methode. Voor figuren en data van de overige meetmethodes verwijzen we naar de oorspronkelijke publicatie van dit onderzoek.10

Figuur 1
Leeftijdsspecifieke referentie-intervallen voor TSH bij kinderen en volwassenen
Figuur 1 | Leeftijdsspecifieke referentie-intervallen voor TSH bij kinderen en volwassenen
Met ‘regulier referentie-interval’ zijn de huidige onder- en bovengrens weergegeven van het TSH-referentie-interval voor 18-60-jarigen.9 De overige lijnen geven de leeftijdsspecifieke grenswaarden van TSH voor vrouwen, mannen en alle personen (totaal), gemeten met de Roche-methode en uitgesplitst naar (a) kinderen en (b) volwassenen.

Afname van het aantal diagnoses

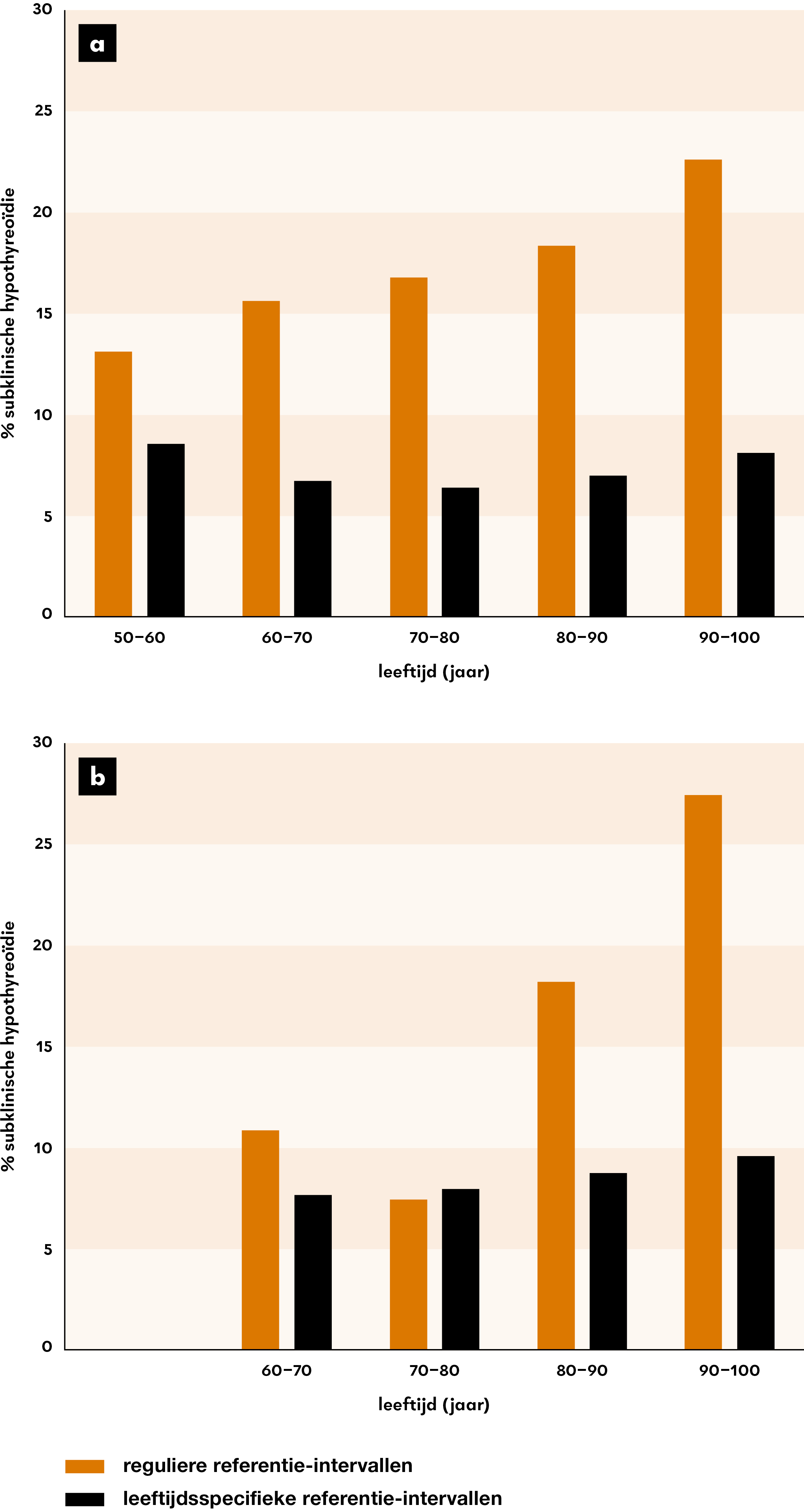
We onderzochten ook welke impact de toepassing van onze leeftijds- en geslachtsspecifieke referentie-intervallen heeft op het aantal diagnoses van schildklieraandoeningen. Bij vrouwen tussen 50 en 60 jaar zagen we een afname van de diagnose ‘subklinische hypothyreoïdie’ van 13,1% naar 8,6%; bij vrouwen van 90 tot 100 jaar daalde dit percentage van 22,7 naar 8,1% (figuur 2a). Bij mannen van 60 tot 70 jaar was er een daling van 10,9 naar 7,7%, en in de groep van 90 tot 100 jaar daalde dit van 27,4 naar 9,6% (figuur 2b).

Figuur 2
Minder diagnoses ‘subklinische hypothyreoïdie’ bij toepassing van leeftijdsspecifieke referentie-intervallen voor TSH en FT4
Figuur 2 | Minder diagnoses ‘subklinische hypothyreoïdie’ bij toepassing van leeftijdsspecifieke referentie-intervallen voor TSH en FT4
Staafdiagrammen van het percentage diagnoses ‘subklinische hypothyreoïdie’ op basis van de reguliere dan wel nieuwe leeftijdsspecifieke referentie-intervallen voor TSH en FT4, uitgesplitst naar (a) vrouwen en (b) mannen.

De diagnose ‘manifeste hypothyreoïdie’ daalde van 3,0% naar 2,2% bij vrouwen tussen de 50 en 60 jaar en van 2,8% naar 2,3% tussen 90 en 100 jaar; bij mannen daalde dit percentage van 1,7 naar 1,4% in de leeftijdsgroep tussen 60 en 70 jaar en van 4,0 naar 2,9% in de groep tussen 90 en 100 jaar. De diagnose ‘hyperthyreoïdie’ – al dan niet subklinisch – liet geen duidelijke daling of stijging zien bij het gebruik van de leeftijds- en geslachtsspecifieke referentie-intervallen.

Beschouwing

Onze onderzoeksresultaten laten zien hoe belangrijk het is om leeftijds- en geslachtsspecifieke referentie-intervallen te gebruiken bij de diagnose van schildklieraandoeningen.

De berekende TSH-referentie-intervallen voor kinderen zijn over het algemeen breder dan de referentie-intervallen voor volwassenen. Anderzijds zijn de referentie-intervallen voor FT4 in de kindertijd smaller; tot de leeftijd van 10 jaar waren de ondergrenzen iets hoger en na de leeftijd van 10 jaar waren de bovengrenzen iets lager dan bij volwassenen. Onze resultaten voor TSH-referentie-intervallen op de kinderleeftijd kwamen overeen met eerdere studies.11,12

Volgens de consensusverklaring van het ENDO-ERN-netwerk zouden leeftijdsspecifieke referentie-intervallen voor TSH en FT4 moeten worden gebruikt bij de follow-up van kinderen met congenitale hypothyreoïdie.13 Veel laboratoria gebruiken al de leeftijdsspecifieke referentie-intervallen voor kinderen die verschillende fabrikanten in hun bijsluiters geven. Tot dusver is er echter geen consensus over de exacte indeling van de leeftijdsgroepen.

Boven de leeftijd van 50-60 jaar nam de bovengrens van het TSH-referentie-interval aanzienlijk toe bij zowel mannen als vrouwen. De FT4-referentie-intervallen lieten een vergelijkbare, maar meer gematigde trend zien met het ouder worden. Deze resultaten bevestigen eerdere studies.4-6 Waarom de TSH- en FT4-referentie-intervallen bij volwassenen van leeftijdsafhankelijkheid zijn, is nog onbekend.

In eerdere studies is aangetoond dat de jodiumstatus in de kindertijd correleert met de schildklierfunctie later in het leven.14 Opgroeien in een jodiumarme omgeving verhoogt het risico op hyperthyreoïdie, terwijl een overmaat aan jodium het risico op hypothyreoïdie op latere leeftijd verhoogt.15 Dit zou kunnen wijzen op een pathofysiologisch proces dat niet zou stroken met het aanpassen van referentie-intervallen met de leeftijd. Anderzijds lieten eerdere studies zien dat verhoogde TSH-concentraties een beschermend effect hebben bij volwassenen boven de 80 jaar.16-18 Dit kan gezien worden als een fysiologische respons van de hypothalamus-hypofyse-schildklieras op veroudering.

Bij verouderende muizen is een afname van type 1-deiodinase en een toename van type 3-deiodinase in de lever aangetoond. Dat resulteert in een verminderde omzetting van T4 in het actieve trijodothyronine (T3) en een toegenomen inactivatie van T4 en T3.19 Studies bij mensen bevestigden dit; bij veroudering vond men hogere concentraties inactief ‘reverse’ T3, wat kan wijzen op verminderde deiodinase 1- en verhoogde deiodinase 3-activiteit.20 Deze bevindingen ondersteunen de hypothese dat er lokaal minder T3 geproduceerd wordt en dat dit leidt tot een verhoogde TSH-respons naarmate men ouder wordt.

Implicaties voor de behandeling

De prevalentie van subklinische hypothyreoïdie neemt toe met de leeftijd, tot 10% bij patiënten > 80 jaar.21 De huidige richtlijn van de European Thyroid Association (ETA) voor hypothyreoïdie bij volwassenen stelt dat je behandeling met levothyroxine alleen hoeft te overwegen bij volwassenen > 70 jaar met een TSH van > 10 mU/l en met duidelijke symptomen van hypothyreoïdie of een hoog risico op vaatziekten.22 Toch wordt levothyroxine nog steeds vaak voorgeschreven aan ouderen met subklinische hypothyreoïdie zonder dat ze aan deze criteria voldoen.23,24 Levothyroxine zou bij bijna een derde van de gebruikers gestopt kunnen worden.25

Recente gerandomiseerde klinische trials lieten bovendien zien dat behandeling met levothyroxine voor subklinische hypothyreoïdie geen voordeel had bij patiënten > 65 jaar.26,27 Sterker nog, een licht verhoogde TSH-waarde lijkt zelfs gunstig te zijn bij volwassenen > 80 jaar.16,18 Dit suggereert dat behandeling van subklinische hypothyreoïdie in deze groep niet voordelig is.28 Daarom is al eerder betoogd om de bovengrenzen van de referentie-intervallen voor TSH bij oudere volwassenen te verhogen.29

Sterke kanten en beperkingen van het onderzoek

De huidige richtlijnen maken geen onderscheid in de gebruikte meetmethoden, terwijl deze wel verschillen in analytische standaardisatie vertonen. Het is daarom van toegevoegde waarde om leeftijds- én methodespecifieke referentie-intervallen te hanteren. Een sterk punt van onze studie is de grote dataset met vier veelgebruikte immunoassays uit verschillende regio’s in Nederland. Een beperking is dat we geen toegang hadden tot aanvullende gegevens waarvan bekend is dat ze TSH- en FT4-concentraties kunnen beïnvloeden, zoals de BMI (hogere TSH en lagere FT4 bij toegenomen BMI), rookstatus (lagere TSH en hogere FT4 bij rokers), etniciteit of zwangerschap (licht stijgende FT4 in eerste trimester, en dalende TSH).30-32

Conclusie en advies

Toepassing van leeftijdsspecifieke TSH-referentie-intervallen kan het aantal klinisch niet-relevante diagnoses van subklinische hypothyreoïdie bij oudere volwassenen laten dalen. Onze studie laat zien dat dit aantal aanzienlijk afneemt bij vrouwen en mannen tussen de 50-100 jaar wanneer gebruikgemaakt wordt van leeftijdsspecifieke referentie-intervallen. Op basis van onze resultaten kunnen we concluderen dat de implementatie van leeftijdsspecifieke referentie-intervallen bij vrouwen > 50 jaar en bij mannen > 60 jaar zou leiden tot minder diagnoses van subklinische hypothyreoïdie en dus minder onnodige voorschriften voor levothyroxine.

Klinisch chemici in Nederland zijn nu aan zet. Aanvragers, zoals huisartsen, kinderartsen en internisten, handelen op de markering die laboratoria rapporteren als een resultaat buiten het referentie-interval valt (uitslag in blauw dan wel rood, of pijl omhoog/pijl omlaag). Ook patiënten zien deze gemarkeerde laboratoriumresultaten in hun elektronisch patiëntendossier. Wij raden klinisch chemici daarom sterk aan om in overleg met hun aanvragers deze leeftijdsspecifieke en methodespecifieke referentie-intervallen voor TSH bij volwassenen in hun laboratoria te implementeren. Dit biedt de aanvragers de mogelijkheid om de juiste diagnose te stellen, patiënten direct gerust te stellen en onnodige vervolgdiagnostiek, onnodige behandeling en onnodige kosten te voorkómen, met andere woorden: om hun patiënten – overeenkomstig het Integraal Zorgakkoord –passende zorg te leveren. Het is van belang dat deze aanbeveling ook wordt overgenomen in richtlijnen.

Literatuur
  1. NHG Richtlijn Laboratoriumdiagnostiek - Schildklieraandoeningen (NHG, NVKC, NVMM, SAN).
  2. Naafs JC, Heinen CA, Zwaveling-Soonawala N, et al. Age-Specific Reference Intervals for Plasma Free Thyroxine and Thyrotropin in Term Neonates During the First Two Weeks of Life. Thyroid. 2020;30(8):1106-1111. doi:10.1089/thy.2019.0779. Medline
  3. Ferraro S, Luconi E, Calcaterra V, et al. Reference intervals for thyroid biomarkers to enhance the assessment of thyroid status in childhood and adolescence. Clin Chem Lab Med. 2023;61(7):1309-1318. doi:10.1515/cclm-2022-1053. Medline
  4. Kahapola-Arachchige KM, Hadlow N, Wardrop R, Lim EM, Walsh JP. Age-specific TSH reference ranges have minimal impact on the diagnosis of thyroid dysfunction. Clin Endocrinol (Oxf). 2012;77(5):773-779. doi:10.1111/j.1365-2265.2012.04463.x. Medline
  5. Raverot V, Bonjour M, Abeillon du Payrat J, et al. Age- and Sex-Specific TSH Upper-Limit Reference Intervals in the General French Population: There Is a Need to Adjust Our Actual Practices. J Clin Med. 2020;9(3):792. doi:10.3390/jcm9030792. Medline
  6. Vadiveloo T, Donnan PT, Murphy MJ, Leese GP. Age- and gender-specific TSH reference intervals in people with no obvious thyroid disease in Tayside, Scotland: the Thyroid Epidemiology, Audit, and Research Study (TEARS). J Clin Endocrinol Metab. 2013;98(3):1147-1153. doi:10.1210/jc.2012-3191. Medline
  7. Jones GRD, Haeckel R, Loh TP, et al; IFCC Committee on Reference Intervals and Decision Limits. Indirect methods for reference interval determination - review and recommendations. Clin Chem Lab Med. 2018;57(1):20-29. doi:10.1515/cclm-2018-0073. Medline
  8. Ammer T, Schützenmeister A, Prokosch HU, Zierk J, Rank CM, Rauh M. RIbench: A Proposed Benchmark for the Standardized Evaluation of Indirect Methods for Reference Interval Estimation. Clin Chem. 2022;68(11):1410-1424. doi:10.1093/clinchem/hvac142. Medline
  9. Dirks NF, den Elzen WPJ, Hillebrand JJ, et al. Should we depend on reference intervals from manufacturer package inserts? Comparing TSH and FT4 reference intervals from four manufacturers with results from modern indirect methods and the direct method. Clin Chem Lab Med. 2024;62(7):1352-1361. doi:10.1515/cclm-2023-1237. Medline
  10. Jansen HI, Dirks NF, Hillebrand JJ, et al. Age-Specific Reference Intervals for Thyroid-Stimulating Hormones and Free Thyroxine to Optimize Diagnosis of Thyroid Disease. Thyroid. 2024;34(11):1346-1355. doi:10.1089/thy.2024.0346. Medline
  11. Hall A, Bohn MK, Wilson S, Higgins V, Adeli K. Continuous reference intervals for 19 endocrine, fertility, and immunochemical markers in the CALIPER cohort of healthy children and adolescents. Clin Biochem. 2021;94:35-41. doi:10.1016/j.clinbiochem.2021.04.014. Medline
  12. Önsesveren I, Barjaktarovic M, Chaker L, et al. Childhood thyroid function reference ranges and determinants: a literature overview and a prospective cohort study. Thyroid. 2017;27(11):1360-1369. doi:10.1089/thy.2017.0262. Medline
  13. Van Trotsenburg P, Stoupa A, Léger J, et al. Congenital Hypothyroidism: A 2020-2021 Consensus Guidelines Update–An ENDO-European reference network initiative endorsed by the European Society for Pediatric Endocrinology and the European Society for Endocrinology. Thyroid. 2021;31(3):387-419. doi:10.1089/thy.2020.0333. Medline
  14. Van de Ven AC, Netea-Maier RT, Smit JW, et al. Thyrotropin versus age relation as an indicator of historical iodine intake. Thyroid. 2015;25(6):629-634. doi:10.1089/thy.2014.0574. Medline
  15. Laurberg P, Pedersen KM, Hreidarsson A, Sigfusson N, Iversen E, Knudsen PR. Iodine intake and the pattern of thyroid disorders: a comparative epidemiological study of thyroid abnormalities in the elderly in Iceland and in Jutland, Denmark. J Clin Endocrinol Metab. 1998;83(3):765-769. doi:10.1210/jcem.83.3.4624. Medline
  16. Gussekloo J, van Exel E, de Craen AJ, Meinders AE, Frölich M, Westendorp RG. Thyroid status, disability and cognitive function, and survival in old age. JAMA. 2004;292(21):2591-2599. doi:10.1001/jama.292.21.2591. Medline
  17. Jansen SW, Akintola AA, Roelfsema F, et al. Human longevity is characterised by high thyroid stimulating hormone secretion without altered energy metabolism. Sci Rep. 2015;5(1):11525. doi:10.1038/srep11525. Medline
  18. Riis J, Kragholm K, Torp-Pedersen C, Andersen S. Association between thyroid function, nursing home admission and mortality in community-dwelling adults over 80 years. Arch Gerontol Geriatr. 2023;104:104806. doi:10.1016/j.archger.2022.104806. Medline
  19. Visser WE, Bombardieri CR, Zevenbergen C, et al. Tissue-specific suppression of thyroid hormone signaling in various mouse models of aging. PLoS One. 2016;11(3):e0149941. doi:10.1371/journal.pone.0149941. Medline
  20. Van den Beld AW, Visser TJ, Feelders RA, Grobbee DE, Lamberts SW. Thyroid hormone concentrations, disease, physical function, and mortality in elderly men. J Clin Endocrinol Metab. 2005;90(12):6403-6409. doi:10.1210/jc.2005-0872. Medline
  21. Hollowell JG, Staehling NW, Flanders WD, et al. Serum TSH, T(4), and thyroid antibodies in the United States population (1988 to 1994): National Health and Nutrition Examination Survey (NHANES III). J Clin Endocrinol Metab. 2002;87(2):489-499. doi:10.1210/jcem.87.2.8182. Medline
  22. Pearce SH, Brabant G, Duntas LH, et al. 2013 ETA Guideline: Management of subclinical hypothyroidism. Eur Thyroid J. 2013;2(4):215-228. doi:10.1159/000356507. Medline
  23. Ayala IN, Soto Jacome C, Toro-Tobon D, et al. Appropriateness of levothyroxine prescription: a multicenter retrospective study. J Clin Endocrinol Metab. 2024;109(2):e765-e772. doi:10.1210/clinem/dgad517. Medline
  24. Taylor PN, Iqbal A, Minassian C, et al. Falling threshold for treatment of borderline elevated thyrotropin levels-balancing benefits and risks: evidence from a large community-based study. JAMA Intern Med. 2014;174(1):32-39. doi:10.1001/jamainternmed.2013.11312. Medline
  25. Burgos N, Toloza FJK, Singh Ospina NM, et al. Clinical outcomes after discontinuation of thyroid hormone replacement: a systematic review and meta-analysis. Thyroid. 2021;31(5):740-751. doi:10.1089/thy.2020.0679. Medline
  26. Mooijaart SP, Du Puy RS, Stott DJ, et al. Association between levothyroxine treatment and thyroid-related symptoms among adults aged 80 years and older with subclinical hypothyroidism. JAMA. 2019;322(20):1977-1986. doi:10.1001/jama.2019.17274. Medline
  27. Stott DJ, Rodondi N, Kearney PM, et al; TRUST Study Group. Thyroid hormone therapy for older adults with subclinical hypothyroidism. N Engl J Med. 2017;376(26):2534-2544. doi:10.1056/NEJMoa1603825. Medline
  28. Den Elzen WP, Smit JW, Mooijaart SP, Gussekloo J. Behandelen van subklinische hypothyreoïdie bij ouderen? Ned Tijdschr Geneeskd. 2012;156(49):A5094 Medline.
  29. Cappola AR, Auchus RJ, El-Hajj Fuleihan G, et al. Hormones and aging: an Endocrine Society Scientific statement. J Clin Endocrinol Metab. 2023;108(8):1835-1874. doi:10.1210/clinem/dgad225. Medline
  30. Xu R, Huang F, Zhang S, Lv Y, Liu Q. Thyroid function, body mass index, and metabolic risk markers in euthyroid adults: a cohort study. BMC Endocr Disord. 2019;19(1):58. doi:10.1186/s12902-019-0383-2. Medline
  31. Gruppen EG, Kootstra-Ros J, Kobold AM, et al. Cigarette smoking is associated with higher thyroid hormone and lower TSH levels: the PREVEND study. Endocrine. 2020;67(3):613-622. doi:10.1007/s12020-019-02125-2. Medline
  32. Medici M, Korevaar TI, Visser WE, Visser TJ, Peeters RP. Thyroid function in pregnancy: what is normal? Clin Chem. 2015;61(5):704-713. doi:10.1373/clinchem.2014.236646. Medline
Auteursinformatie

Amsterdam UMC, Amsterdam, afd. Laboratoriumgeneeskunde: dr. W.P.J. den Elzen, dr. J.J. Hillebrand en prof.dr. A.C. Heijboer, klinisch chemici; prof.dr. A. Boelen, medisch bioloog; afd. Interne Geneeskunde: dr. H.I. Jansen, aios interne geneeskunde; prof.dr. M. den Heijer en dr. E. Bruinstroop, internisten-endocrinologen; afd. Kindergeneeskunde: prof.dr. A.S.P. van Trotsenburg, kinderendocrinoloog. Noordwest Ziekenhuisgroep, afd. Klinische chemie, Hematologie en Immunologie, Alkmaar: dr. N.F. Dirks, klinisch chemicus.

Contact A.C. Heijboer (a.heijboer@amsterdamumc.nl)

Belangenverstrengeling

Belangenconflict en financiële ondersteuning: er zijn mogelijke belangen gemeld bij dit artikel. ICMJE-formulieren met de belangenverklaring van de auteurs zijn online beschikbaar bij dit artikel.

Verantwoording

*Heleen Jansen en Niek Dirks delen het tweede auteurschap. Klinisch chemici E. ten Boekel, J.W. Brinkman, M.M. Buijs, A.Y. Demir, I.M. Dijkstra, S.C. Endenburg, P. Engbers, J. Gootjes, M.J.W. Janssen, S. Kamphuis, W.H.A. Kniest-de Jong, A. Kruit, E. Michielsen en A. Wolthuis leverden zeer waardevolle bijdragen aan de dataverzameling, interpretatie van de resultaten en beoordeling van het manuscript voor de oorspronkelijke publicatie in Thyroid.

Auteur Belangenverstrengeling
Wendy P.J. den Elzen ICMJE-formulier
Heleen I. Jansen ICMJE-formulier
Niek F. Dirks ICMJE-formulier
Jacquelien J. Hillebrand ICMJE-formulier
A.S. Paul van Trotsenburg ICMJE-formulier
Martin den Heijer ICMJE-formulier
Eveline Bruinstroop ICMJE-formulier
Anita Boelen ICMJE-formulier
Annemieke C. Heijboer ICMJE-formulier
Heb je nog vragen na het lezen van dit artikel?
Check onze AI-tool en verbaas je over de antwoorden.
ASK NTVG

Ook interessant

Reacties