Afname van het verdrinkingsrisico bij jonge kinderen, maar verhoogd risico bij kinderen van recent geïmmigreerde niet-westerse allochtonen

Onderzoek
Abstract
M.J. Garssen
J. Hoogenboezem
J.J.L.M. Bierens

Samenvatting

Doel

Beschrijving van de verschillen in verdrinkingsrisico van kinderen tot 10 jaar op grond van etnische herkomst en de ontwikkelingen daarin sinds 1996.

Opzet

Retrospectief.

Methode

Wij analyseerden gegevens over alle 266 kinderen jonger dan 10 jaar die in de periode 1996-2005 door verdrinking in Nederland overleden. Informatie over de doodsoorzaak was afkomstig van de doodsoorzakenstatistiek van het Centraal Bureau voor de Statistiek (CBS). Gegevens over de omvang en de samenstelling van de risicogroepen ontleenden wij aan de gemeentelijke basisadministraties.

Resultaten

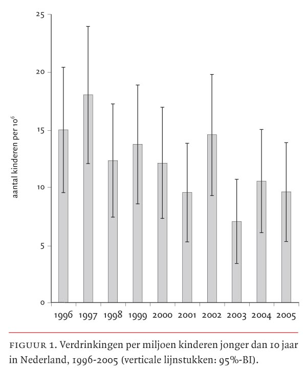
Het verdrinkingsrisico van jonge kinderen verminderde sinds 1996 met circa een derde. Deze daling vond plaats onder autochtonen en de grootste, klassieke allochtone herkomstgroepen, Turken, Marokkanen en Surinamers. Het aantal gevallen van verdrinking nam echter toe bij niet-westerse allochtone kinderen uit de groep die overwegend bestaat uit asielzoekers die recent geïmmigreerd zijn. Hun verdrinkingsrisico was vanaf 3-jarige leeftijd 4 tot 8 keer zo hoog als dat van autochtone kinderen.

Conclusie

Tijdige voorlichting aan gezinnen met jonge kinderen die zich in Nederland vestigen is waarschijnlijk een belangrijk middel om de kans op verdrinking te verminderen. Voor de jongste kinderen dient daarbij het belang van toezicht te worden benadrukt, en voor iets oudere kinderen het belang van zwemvaardigheid.

Ned Tijdschr Geneeskd. 2008;152:1216-20

Auteursinformatie

Centraal Bureau voor de Statistiek, Postbus 4000, 2270 JM Voorburg.

Hr.drs.M.J.Garssen MSc, demograaf; hr.J.Hoogenboezem, statistisch analist.

VU Medisch Centrum, afd. Anesthesiologie, Amsterdam.

Hr.prof.dr.J.J.L.M.Bierens, anesthesioloog.

Contact hr.drs.M.J.Garssen (jgsn@cbs.nl)

Heb je nog vragen na het lezen van dit artikel?
Check onze AI-tool en verbaas je over de antwoorden.
ASK NTVG

Ook interessant

Reacties

I.E.A.
van Oostrum

Utrecht, juni 2008,

Collega’s Garssen et al. pleiten voor tijdige voorlichting en zwemvaardigheidsbevordering voor niet-westerse allochtone migrantengezinnen om de kans op verdrinking te reduceren (2008:1216-20). Voor hun onderzoek koppelden zij gegevens uit doodsoorzaakverklaringen en de Gemeentelijke Basisadministratie (GBA) aan gegevens over het geboorteland. Informatie over het migratiemotief dan wel asiel namen zij niet mee.

De Medische Opvang Asielzoekers (MOA) verzamelt specifieke gegevens over sterfte bij asielzoekers1-3 door elk overlijden van een asielzoeker onafhankelijk van de GBA-opname te registreren.2-4 Reeds in 1998-1999 werd onder asielzoekers oversterfte aan externe doodsoorzaken gevonden, waarbij het in 80&percnt; van de ongevallen om verdrinking ging.1 Gedurende 2002-2005 was het risico op verdrinking bij asielzoekers ten opzichte van de Nederlandse bevolking sterk verhoogd (12,9 maal voor mannen en 18,8 maal voor vrouwen; beide p < 0,01). Onder de 16 asielzoekers die door verdrinking omkwamen, waren 10 kinderen jonger dan 10 jaar en 4 tieners en jongvolwassenen.3-5

In 2002-2005 overleden in Nederland 83 kinderen jonger dan 10 jaar door verdrinking (bron: CBS Statline), onder wie 22 kinderen van ‘overige’ niet-westerse allochtonen (M.J.Garssen, schriftelijke mededeling, 2008). Omdat een deel van de overleden asielzoekerskinderen niet in de CBS-cijfers is meegenomen omdat zij nog niet in de GBA zijn opgenomen, is het waarschijnlijk dat het merendeel van de overlijdensgevallen van de overige niet-westerse allochtone kinderen waarover Garssen et al. berichtten, kinderen van statushouders waren. Deze vormen een steeds omvangrijkere groep: in 2007 leefden in Nederland 11.767 kinderen jonger dan 15 jaar die afkomstig waren uit de meest voorkomende herkomstlanden van asielzoekers: Afghanistan, Ethiopië, Irak, Iran en Somalië (bron: CBS Statline). Ter vergelijking: het aantal kinderen uit deze landen jonger dan 15 jaar dat nog in de asielprocedure zat, was minder dan 2000 in 2007.

De MOA en het Centraal Orgaan Opvang Asielzoekers (COA) werken sinds 2005 aan verdrinkingspreventie onder asielzoekers.5 Maar wij pleiten tevens voor extra investering in verdrinkingspreventie onder statushouders, die de opvang hebben verlaten. In aanvulling op landelijke campagnes van Consument en Veiligheid die bijdragen aan de verdrinkingspreventie onder allochtonen,6 zien wij hier een uitdaging voor onder andere gemeenten, VluchtelingenWerk Nederland en zelforganisaties van vluchtelingen.

I.E.A. van Oostrum
E.S.M. Goosen
Literatuur
  1. Koppenaal H, Bos CA, Broer J. Hoge sterfte door infectieziekten en niet-natuurlijke doodsoorzaak onder asielzoekers in 1998-1999. [LITREF JAARGANG="2003" PAGINA="391-5"]Ned Tijdschr Geneeskd. 2003;147:391-5.[/LITREF]

  2. Goosen S, Asselt A van, Koppenaal H. Sterfte en doodsoorzaken onder asielzoekers 2002-2003. Utrecht: GGD Nederland; 2005.

  3. Oostrum IEA van, Koppenaal H, Goosen ESM. Sterftecijfers en doodsoorzaken onder asielzoekers in 2004-2005. Utrecht: GGD Nederland; 2007.

  4. Oostrum IEA van, Goosen ESM, Uitenbroek DG, Koppenaal H, Stronks K. Mortality and causes of death in asylum seekers in the Netherlands in 2002-2005. &lsqb;ter perse&rsqb;.

  5. Oostrum IEA van, Goosen ESM, Koppenaal H. Doodsoorzaken onder asielzoekers (2002-2004) vergeleken met de Nederlandse bevolking &lsqb;abstract&rsqb;. Tijdschrift voor Gezondheidswetenschappen. 2006;3:71.

  6. Tweede Kamer der Staten Generaal. Vergaderjaar 2001-2002. Kamervragen 1665. Den Haag: Ministerie van Volksgezondheid, Welzijn en Sport; 2002. p. 3537.

Voorburg, juni 2008,

De gegevens van de MOA waarover collega’s Van Oostrum en Goosen berichten, vormen een waardevolle aanvulling op onze analyse op basis van GBA-gegevens. De door ons als ‘overige niet-westerse’ allochtonen aangeduide groep bestaat voor een aanzienlijk, maar niet exact te bepalen deel uit statushouders. Niet-ingeschreven asielzoekers bleven in onze analyse buiten beschouwing. De MOA-cijfers laten zien dat kinderen uit zeer recent in Nederland gearriveerde niet-westerse gezinnen een zelfs nog hoger risico lopen dan de ruimere groep (ingeschreven asielzoekers plus statushouders) waarover wij rapporteerden. Waar wij in ons artikel spreken over ‘tijdige voorlichting aan gezinnen met jonge kinderen die zich in Nederland vestigen’ bedoelen wij hetzelfde als hetgeen collega’s Van Oostrum en Goosen adviseren: voorlichting aan migrantengezinnen uit niet-westerse gebieden, ongeacht hun verblijfsstatus. Een dergelijke aanpak is wenselijk gezien het sterk verhoogde risico van deze doelgroep en de vermijdbaarheid van deze sterfte.

M.J. Garssen
J. Hoogenboezem
J.J.L.M. Bierens

Gratis Ask NTVG uitproberen?

Maak met 2 klikken een gratis account aan

Account aanmaken

Heb je al een account of een abonnement? Inloggen

Altijd toegang tot alle publicaties van het NTVG?

Abonneer vandaag nog!

Online toegang tot alle artikelen
Gepersonaliseerde alerts voor artikelen en dossiers
Artikelen voor opleiding en nascholing mét geaccrediteerde toetsen
Onbeperkt luisteren naar de NTVG-podcast
Antwoorden op al je vragen via de AI-toepassing 'Ask NTVG'

Neem het digitaal ntvg abonnement

€ 15,93 per maand!

Ik wil digitaal
NTVG nummer 2 2026
NTVG nummer 3 2026
NTVG nummer 4 2026