Acetylcysteïne bij paracetamoloverdosering; intraveneuze maar ook orale therapie is zinvol, ook bij late toepassing

Klinische praktijk
G.P. van Berge Henegouwen
T.J.F. Savelkoul

Inleiding

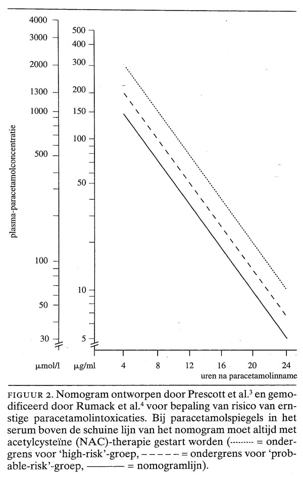
Intoxicaties ten gevolge van veelal intentionele overdoseringen van paracetamol komen regelmatig voor. Bij het Nationaal Vergiftigingen Informatie Centrum (NVIC) is er een gestage toename te constateren van de verzoeken om informatie over mogelijke paracetamolintoxicaties (figuur 1). In andere landen komen deze intoxicaties eveneens vaak voor. In Groot-Brittannië sterven zelfs jaarlijks 160 mensen aan een paracetamolintoxicatie.12 Ernstige intoxicaties kunnen gepaard gaan met leverfunctiestoornissen en leverinsufficiëntie, stollingsstoornissen, encefalopathie, nierinsufficiëntie, acidose en hypotensie. Opname op een intensive careafdeling is dan noodzakelijk. Patiënten met deze verschijnselen worden vaak pas enige tijd na inname van de overdosis gevonden, zodat effectieve therapie laat gestart wordt.2 In Nederland komen deze complicaties relatief weinig voor doordat over het algemeen snel met behandeling kan worden begonnen. Door degenen die de in figuur 1 aangegeven vragen stelden, werd sporadisch teruggerapporteerd dat bij patiënten leverfunctiestoornissen waren opgetreden (bij 1-2 van de aanvragen).

Toediening van acetylcysteïne (N-acetyl-L-cysteïne…

Auteursinformatie

Academisch Ziekenhuis, Postbus 85.500, 3508 GA Utrecht.

Afd. Gastro-enterologie: prof.dr.G.P.van Berge Henegouwen, gastro-enteroloog.

Afd. Intensive Care I en Klinische Toxicologie (tevens: Rijksinstituut voor Volksgezondheid en Milieuhygiëne, Nationaal Vergiftigingen Informatie Centrum, Bilthoven): dr.T.J.F.Savelkoul, internist-toxicoloog.

Contact prof.dr.G.P.van Berge Henegouwen

Heb je nog vragen na het lezen van dit artikel?
Check onze AI-tool en verbaas je over de antwoorden.
ASK NTVG

Ook interessant

Reacties